粘钢加固技术工程应用
发布日期:2017-02-22 10:30:05 浏览量:3149
上海某医院病房大楼,原建于1921年,为三层钢筋混凝土框架结构,后在1972年采用砖墙体及木屋架加了一层,现根据业主要求,对该病房大楼进行加层与装饰改造。
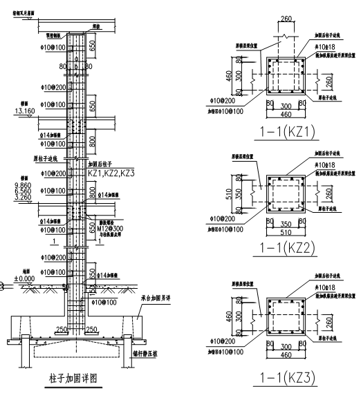
由于该房子建成年代久远,经房屋质量及抗震鉴定后发现柱混凝土强度较低,且碳化现象严重。通过计算知加层后基础地基强度不能满足要求;框架柱的轴压比及抗震能力不足;框架梁的抗弯抗剪强度均不能满足要求,因此须进行加固。经综合比较考虑,基础采用锚杆静压桩加固,以保证承载力及控制沉降;框架柱采用围套法(扩大截面法)加固,以满足轴压比及抗震能力要求,详见图1。框架梁采用粘钢方法加固,即能满足抗弯抗剪强度要求,又便于施工,缩短周期,详见图2。
下面对框架梁粘钢加固计算与加固方法进行介绍:
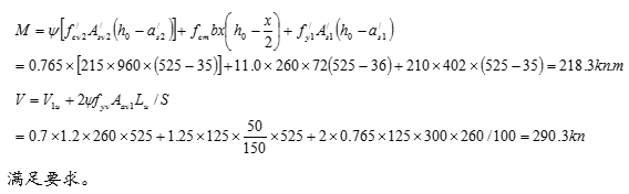
(一)、框架梁粘钢加固计算
(二)、框架梁粘钢加固方法
粘钢加固所用材料
采用二层3mm厚钢板,双面对焊连接成要求的长度,需要弯折的钢板采用冷加工工艺弯折。粘接材料为JGN型建筑结构胶。
2.框架梁粘钢加固的工艺流程:
表面处理—加压固定及卸载系统准备-配胶-找平—涂胶-粘贴钢板-固定加压-固化-卸支撑-检验、维护—防火防腐处理
3. 实施步骤:
对加固部位严格进行实测实量,对实测实量的尺寸进行钢板的裁剪和加工。用专用磨光机将混凝土表面的水泥浆磨去,达到最大的平整度,将表面松散浮渣和浮尘除去,用丙酮把混凝土表面清洗干净。钢板的贴和面用砂轮和砂布打磨至露金属光泽,纹路与钢板受力方向垂直。制备固定钢板的木柱、木版和木锲,调制粘结胶,JGN型建筑结构胶是双组分胶料,调制前需按甲乙两组分别顺时针方向搅拌均匀。涂胶前先进行钢板和混凝土表面的预粘结,检查两个粘结面是否吻合,尺寸是否相符,预粘贴试验检查合格后进行正式粘贴。钢板和混凝土表面都需涂刷结构胶,胶层厚1~3mm,要求涂刷均匀,中间稍厚,两边稍薄。固定加压后,胶从钢板两侧均匀挤出为合适,然后钢板就位粘贴,粘贴后立即用木板、木柱、木锲支撑,木板压紧钢板,结构胶从钢板两侧均匀挤出表示加压适宜。JGN型建筑结构胶在20°c的环境下,24小时固化,3天即可正常使用。在固化期间,不得扰动敲击钢板。刚加固完毕,建筑结构胶尚未固化,就对钢板进行了全面仔细的检查,没有发现挤压不出胶、空鼓等不良现象,粘贴效果良好。4天后拆除木柱等支撑,又一次检查,未发现空鼓等现象,粘贴合格,尔后进行第二次粘贴。粘贴过程全部完工后,进行钢板表面处理,按设计要求涂刷防锈漆。
采用以上方法对该加层房屋梁加固后,病房大楼使用情况正常,取得了良好的经济效益和社会效益。
三.粘钢加固的几点建议
(1)混凝土结构加固技术规范构造规定:粘钢加固基层混凝土强度等级不应低于C15 。实际工程中认为混凝土强度等级不宜低于C20 。
(2)正截面受弯钢板厚度以3 mm~5 mm 为宜,宽度不宜小于100 mm ,亦不得大于梁宽。否则钢板的调直调平以及粘结过程中与梁的紧密结合程度都将明显增加难度,影响加固效果。
(3)施工时混凝土表面打磨,用丙酮清洗干净。钢板也应打磨,钢板上涂满结构胶与梁表面顶紧,以边缘溢出结构胶为准。然后在外侧钢板表面涂胶,粘砂子或钢丝网,粉1∶2 水泥砂浆保护钢板。
(4)考虑到钢板与混凝土共同工作的协调性,钢板的平直度以及打磨过程中的损耗,应在计算钢板面积时乘以放大系数1. 1~1. 15 。

图2、框架梁加固详图
文章来源: 永年加固公司 本文链接: http://www.lubanwang.com/a_20170222183518.html 任何关于加固工程的问题和建议,敬请咨询:0591-87868646
由于该房子建成年代久远,经房屋质量及抗震鉴定后发现柱混凝土强度较低,且碳化现象严重。通过计算知加层后基础地基强度不能满足要求;框架柱的轴压比及抗震能力不足;框架梁的抗弯抗剪强度均不能满足要求,因此须进行加固。经综合比较考虑,基础采用锚杆静压桩加固,以保证承载力及控制沉降;框架柱采用围套法(扩大截面法)加固,以满足轴压比及抗震能力要求,详见图1。框架梁采用粘钢方法加固,即能满足抗弯抗剪强度要求,又便于施工,缩短周期,详见图2。
下面对框架梁粘钢加固计算与加固方法进行介绍:
(一)、框架梁粘钢加固计算
该大楼经加固后,进行了总体抗震验算,各楼层综合抗震能力指数β均能满足要求,对各构件复核,也能满足承载力要求。以KL-B框架梁为例,断面尺寸为260×560,原配梁底主筋为4Ф18,梁顶贯通纵筋为2Ф16,加密区箍筋为Ф8@150。经计算,该梁的最大弯矩为186.2kn.m,最大剪力为215kn。设计考虑跨中梁底与支座梁顶各加两层粘钢,粘钢厚度为每层3mm,宽度为两条80mm,箍板为100mm宽,间距100mm。通过计算

(二)、框架梁粘钢加固方法
粘钢加固所用材料
采用二层3mm厚钢板,双面对焊连接成要求的长度,需要弯折的钢板采用冷加工工艺弯折。粘接材料为JGN型建筑结构胶。
2.框架梁粘钢加固的工艺流程:
表面处理—加压固定及卸载系统准备-配胶-找平—涂胶-粘贴钢板-固定加压-固化-卸支撑-检验、维护—防火防腐处理
3. 实施步骤:
对加固部位严格进行实测实量,对实测实量的尺寸进行钢板的裁剪和加工。用专用磨光机将混凝土表面的水泥浆磨去,达到最大的平整度,将表面松散浮渣和浮尘除去,用丙酮把混凝土表面清洗干净。钢板的贴和面用砂轮和砂布打磨至露金属光泽,纹路与钢板受力方向垂直。制备固定钢板的木柱、木版和木锲,调制粘结胶,JGN型建筑结构胶是双组分胶料,调制前需按甲乙两组分别顺时针方向搅拌均匀。涂胶前先进行钢板和混凝土表面的预粘结,检查两个粘结面是否吻合,尺寸是否相符,预粘贴试验检查合格后进行正式粘贴。钢板和混凝土表面都需涂刷结构胶,胶层厚1~3mm,要求涂刷均匀,中间稍厚,两边稍薄。固定加压后,胶从钢板两侧均匀挤出为合适,然后钢板就位粘贴,粘贴后立即用木板、木柱、木锲支撑,木板压紧钢板,结构胶从钢板两侧均匀挤出表示加压适宜。JGN型建筑结构胶在20°c的环境下,24小时固化,3天即可正常使用。在固化期间,不得扰动敲击钢板。刚加固完毕,建筑结构胶尚未固化,就对钢板进行了全面仔细的检查,没有发现挤压不出胶、空鼓等不良现象,粘贴效果良好。4天后拆除木柱等支撑,又一次检查,未发现空鼓等现象,粘贴合格,尔后进行第二次粘贴。粘贴过程全部完工后,进行钢板表面处理,按设计要求涂刷防锈漆。
采用以上方法对该加层房屋梁加固后,病房大楼使用情况正常,取得了良好的经济效益和社会效益。
三.粘钢加固的几点建议
(1)混凝土结构加固技术规范构造规定:粘钢加固基层混凝土强度等级不应低于C15 。实际工程中认为混凝土强度等级不宜低于C20 。
(2)正截面受弯钢板厚度以3 mm~5 mm 为宜,宽度不宜小于100 mm ,亦不得大于梁宽。否则钢板的调直调平以及粘结过程中与梁的紧密结合程度都将明显增加难度,影响加固效果。
(3)施工时混凝土表面打磨,用丙酮清洗干净。钢板也应打磨,钢板上涂满结构胶与梁表面顶紧,以边缘溢出结构胶为准。然后在外侧钢板表面涂胶,粘砂子或钢丝网,粉1∶2 水泥砂浆保护钢板。
(4)考虑到钢板与混凝土共同工作的协调性,钢板的平直度以及打磨过程中的损耗,应在计算钢板面积时乘以放大系数1. 1~1. 15 。
(5)如条件允许,粘贴钢板前,应对被加固梁利用千斤顶对称顶升次梁,使主梁卸荷,有利于原梁底受拉钢筋与粘贴钢板更好地协同工作,同时减少受荷后梁的挠度。


图2、框架梁加固详图
文章来源: 永年加固公司 本文链接: http://www.lubanwang.com/a_20170222183518.html 任何关于加固工程的问题和建议,敬请咨询:0591-87868646
上一篇:招聘信息






