办公楼加固工程施工组织设计
发布日期:2017-02-05 15:09:18 浏览量:6880第一章 编制依据及规范、规程
第一节 编制依据
1. xxx工程招标文件及答疑文件;
2. 建设部建筑设计院设计的xxx工程施工图;
3. 北京市勘察设计研究院的岩土工程勘察报告;
4. 我单位编制的《质量手册》、《程序文件》和《CI 手册》;
5. 我单位施工技术力量、现场周边条件及类似工程施工经验。
第二节 施工规范、标准、规程、法律法规
一、国家规范和标准
1.《工程测量规范》(GB50026-93);
2.《土方与爆破工程施工及验收规范》(GBJ201-83);
3.《地基与基础工程施工及验收规范》(GBJ202-83);
4.《地下室防水工程施工及验收规范》(GBJ208-83);
5.《混凝土结构工程施工及验收规范》(GB50204-92);
6.《混凝土质量控制》(GB50164-92);
7.《硅酸盐、普通硅酸盐水泥》(GB175-92);
8.《用于水泥和混凝土中的粉煤灰》(GB1596-91);
9.《钢筋混凝土用热轧带肋钢筋》(GB1499-91);
10.《钢筋混凝土用热轧光圆钢筋》(GB13013-91);
11.《低碳钢热轧圆盘条》(GB/T701-1997);
12.《混凝土外加剂》(GB8076-1997);
13.《组合钢模板技术规范》(GB50214-2001);
14.《建筑安装工程质量检验评定统一标准》(GBJ300-88);
15.《建筑工程质量检验评定标准》(GBJ301-88);
16.《混凝土强度检验评定标准》(GBJ107-87);
17.《砖石工程施工及验收规范》(GBJ203-83);
18.《屋面工程技术规范》(GB50207-94);
19.《建筑地面工程施工及验收规范》(GB50209-95);
20.《砌体工程施工及验收规范》(GB50203-98);
21.《电气装置安装工程施工及验收规范》(GB 50254-50259-96);
22.《钢结构工程质量检验评定标准》(GB50221-95);
23.《建筑工程施工现场供用电安全规范》(GB50194-93);
24.《制冷设备安装工程施工及验收规范》(GBJ66-84);
25.《采暖与卫生工程施工及验收规范》(GBJ242-82);
26.《通风与空调工程施工及验收规范》(GB 50243-97);
27.《电气装置安装工程电梯电气装置施工及验收规范》(GB50182-93);
28.《火灾自动报警系统施工及验收规范》(GB50166-92);
29.《建筑采暖卫生与煤气工程质量检验评定标准》(GBJ302-88);
30.《建筑电气安装工程质量检验评定标准》(GBJ303-88);
31.《通风与空调工程质量检验评定标准》(GBJ304-88);
32.《气体火灾系统施工及验收规程》(GB50263-97);
33.《自动喷水火灾系统施工及验收规程》(GB50261-96)。
二、行业规范和标准
1.《建筑地基处理技术规范》(JGJ79-91);
2.《钢筋混凝土高层建筑结构设计与施工规程》(JGJ3-91);
3.《普通混凝土用砂质量标准及检验方法》(JGJ52-92);
4.《高层民用建筑钢结构技术规程》(JGJ99-98);
5.《建筑变形测量规程》(JGJ/T8-97);
6. 《混凝土结构施工图平面整体表示方法制图规则和构造详图》(00G101);
7.《带肋钢筋套筒挤压连接技术规程》(JGJ108-96);
8.《建筑物抗震构造详图》(97G329);
9.《普通混凝土用石质量标准及检验方法》(JGJ53-92);
10.《钢筋机械连结通用技术规程》(JGJ107-96);
11.《回弹法检测混凝土抗压强度技术规程》(JGJ/T23-2001);
12.《建筑装饰工程施工及验收规范》(JGJ73-91);
13.《建筑玻璃应用技术规程》(JGJ113-97);
14.《建筑施工安全检查标准》(JGJ/T55-96);
15.《建筑工程饰面砖粘结强度检验标准》(JGJ110-97);
16.《混凝土泵送施工技术规程》(JGJ/T10-95);
17.《民用房屋修缮工程施工规程》(CJJ/T53-93)。
三、地区规定和标准
1.《高级建筑装饰工程质量检验评定标准》(DBJ01-27-96);
2.《工程建设监理规程》(DBJ01-41-98);
3.《建筑工程施工测量规范》(DBJ-01-21-95);
4.《建筑构造通用图集》88J1—88J12、88JXI—88JX3;
5.《框架结构填充空心砌块构造图集》京94SJ19。
四、主要法律法规
1.《中华人民共和国建筑法》;
2.《中华人民共和国合同法》;
3.《建筑工程质量管理条例》;
4.《建设工程质量管理监督法规文件汇编》。
第二章 工程概况
第一节 工程总体概况(略)
第二节 结构加固概况
结构加固概况,见表2-2(略)
第三节 建筑设计概况
建筑设计概况见表2-3 (略)
结构设计概况,见图表2-4(略)
第五节 水暖专业设计概况
水暖专业设计概况,见表2-5(略)
第六节 电气专业设计概况
电气专业设计概况,见表2-6(略)
第七节 工程特点、重点和难点
(1) 主楼加固工作量大,加固手段多,且经过冬施,是本工程的重点。
(2) 外墙装饰复杂,采用的材料较多,高低跨施工交叉作业频繁,施工安全措施必须得当。
(3) 现代的各类控制系统多而复杂,参加施工的各专业队伍多,协调工作量大。
(4) 施工现场场地狭小,施工难度大。
(5) 功能多,装修量大,电气安装专业系统多,现场交叉施工配合量大;有些系统结构只作预留预埋(细部由专业二次设计)。
(6) 施工工期短,工序穿插交叉作业的协调工作量大。
(7) 图纸中还有许多需要专业设计完善的部分,将是影响施工安排和进度的重要因素,必须提前考虑。针对上述重点和难点部位,施工前我们将认真编制难点、重点部位施工方案,并借鉴以往工程类似施工经验,采用新材料、新工艺和新技术,精心组织施工,建立质量控制点,确保工程优质、高效地完成。
第三章 施工部署
本工程工期紧,施工场地狭小,交叉作业多,施工期内横跨两个冬期和一个雨期,为切实保证工程质量和进度,结合工程实际,对本工程的施工进行以下部署。
第一节 施工目标
一、质量目标
本工程将按照《ISO9001 程序文件》要求,实行全方位、全过程质量管理,确保分项工程合格率100%,工程质量达到市优。
二、安全文明施工目标
确保不发生重伤事故,轻伤事故频率控制在1‰以内,创“北京市安全文明工地”。
三、工期目标
本工程招标单位要求的总工期为438 日历天,计划开工日期为2001年12 月18 日,计划竣工日期 2003 年2 月28 日.我单位计划总工期为428 日历天,计划开工日期为2001 年12 月18 日,计划竣工日期为 2003年2 月18 日。
我单位是采用现代化管理模式的国有大型建筑企业, 已通过ISO9001 质量标准体系认证。针对本工程,我公司将以提高工效和工程项目的科技含量为目的,促进各项工作的程序化和标准化。在施工过程中对大的关键工序实行方案先行,严格执行公司的《质量手册》和《程序文件》,同时编制适合本项目特点的质量保证措施、安全文明施工措施,以及合理的工期控制措施,以最短的时间、最优的质量完成本项工程。
第二节 施工顺序
一、施工总顺序
在进行施工准备工作的同时,清理办公楼内废弃物;拆除工作从上至下进行,加固和新建工程按先地下后地上,先主体加固后装修的顺序施工。
本工程分为三个施工阶段:即拆除阶段、主体加固和新建建筑阶段、内外装修阶段;暖卫、电气等设备安装工程配合以上各施工阶段交叉进行。
在施工过程中,牢牢抓住主体加固和室内外装修这根主线,合理安排新建建筑、10 层电讯间、地下室集水坑等项目施工时间,及时完成电讯、供暖切换工作。外围原附属建筑拆除完毕后,新建附属建筑的基础与主楼加固同时进行土方开挖,然后同时施工主楼±0.000 以下柱的加固工程、新增钢筋混凝土剪力墙及附属建筑基础,完成后迅速进行回填土施工。
本工程为加固整修工程,首先进行拆除工作,包括门窗拆除、墙体拆除、吊顶拆除、地面拆除、外墙面砖拆除、室外附属建筑拆除等。梁、板、柱加固顺序为自下而上1、2、3 段同时进行;新增混凝土剪力墙施工由下而上进行;管线敷设、留洞等工序随土建进行。其次,内墙板安装抹灰、涂料、顶棚、门窗安装、油漆、地面等工程按顺序进行。屋面保温、防水工程,外墙面装饰施工待主楼具备施工条件后再大面积展开。电气工程、设备安装工程随土建施工进行。
具体安排如下:拆除→结构加固→隔墙砌筑→管线敷设、留洞→内墙抹灰→地面工程→设备安装工程→内墙涂料→顶棚→门窗安装→油漆工程→电气工程
二、施工进度总计划
1.总安排
本工程计划总工期为428 日历天,开工时间为2001 年12 月18 日,2003 年2 月18 日全部工程竣工。
各阶段工期计划见表3-1 所列(略)
2.安排的原则
1)拆除工程控制在2002 年3 月10 日前完成。
2)加固工程控制在2002 年6 月30 日前完成。
3)砌筑、粗装修、各种电气设备管线安装与结构施工交叉进行。
4)整体工程控制在2003 年2 月18 日前结束。
三、施工流水的划分
划分的原则
(1)民航总局办公大楼整体施工划分按三个自然段Ⅰ、Ⅱ、Ⅲ段及室外附属建筑四个区,流水段主要按层划分。
(2)根据每层的工作量,能够充分利用施工作业面和施工工种,形成立体交叉流水施工格局。
(3)充分利用不同施工阶段的运输机械、空间和场地。
(4)最大限度的应用施工周转材料,降低施工成本。
(5)区与区之间工作量基本平衡。
第三节 施工组织管理
一、总承包管理
民航总局办公大楼加固整修工程性质和位置十分重要,招标方如选中我单位作为总包单位,我单位将对招标方指定的分包项目从施工程序、施工场地和临时设施使用、场内周转材料使用、场内垂直水平运输、施工作业面接口等实施全面协调和服务。我单位已通过ISO9001 质量体系认证,本工程将采用项目法施工,施工中将严格按照ISO9001 质量标准程序运作。在施工过程中对大的关键工序实行方案先行,优先采用新工艺、新材料、新技术。在施工进度控制、工程预算、财务报表、成本控制等方面采用微机管理,促进各项工作的程序化和标准化,从而大大提高施工进度、确保施工质量。我单位将严格按ISO9001 标准控制工期、质量及材料等,严格挑选承包商和分供方,以保证工程保质按时地交付使用。
二、组织机构
如我单位中标,本工程将列为我单位重点工程之一,拟成立xxx工程项目经理部,全面负责xxx工程的现场施工,确保施工质量和工期。
1.项目经理部组成
2.项目经理部各职能部门职责:
(1)项目经理:制定项目质量目标,明确项目质量职能分工;负责落实开工、竣工、交付和回访;组织项目质量成本预测、控制、分析和考核;对工程质量优劣负全面责任。
(2)副经理:根据施工进度和材料、物资采购计划,组织制定工程款使用计划,维持资金使用动态平衡;贯彻执行单位财务制度;按工程质量、安全文明施工情况对施工队进行验工计价。
(3)总工程师:编制施工组织设计、质量计划;组织技术人员进行图纸会审和技术交底;推广应用“四新”技术,提高施工工艺水平;制定施工进度计划;组织质量检查、评审、改进;组织不合格品质量分析会;负责组织竣工验收。
(4)综合办公室:负责内外关系协调、项目部生活保障、现场文明工地建设、现场保卫、外部劳务管理、队伍培训及政治思想教育及宣传鼓动。
(5)计划财务部:负责项目的责任成本控制、合同管理、计划统计、验工计价、财务管理,对本项目的工料机费用负直接责任。
(6)施工技术部:是工程实施指挥机构和项目经理部与招标单位、设计和监理单位的桥梁,负责工程二次设计、下达施工技术方案、技术交底、资料整理归档、材料试验检测、计量管理;负责测量放线、工料机的调度、施工任务下达,指挥各工区、施工队按进度施工,检查施工质量,对工程进度、质量负直接责任。
(7)设备材料部。是项目施工的机械、材料保障部门,确保本项目所需的物资及时到位并确保其质量,负责机械设备的维修保养,确保处于良好运营状态。
第四章 施工准备
第一节 技术准备
(1)熟悉图纸,并配备相关的图集、规范、规程等,各专业准备会审,查看现场地下是否有市政管线、通信电缆等;拿到施工图纸后组织土建、水电专业仔细审图,做好记录, 由招标单位联系设计院进行图纸会审,各专业一起进行图纸会审。
(2)技术工作使用的仪器仪表(经纬仪、水准仪、激光扫平仪等)到位,并经过检测部门检测合格。根据施工需要,项目测量班准备配备经纬仪、水准仪各两台。
(3)高程的引测与定位,由招标单位联系测绘院派人到现场进行交桩,在土方开挖前做好引桩工作;高程点以测绘院所做的点为依据,引测至施工现场,做好保护标志。
(4)混凝土外加剂等需提前确定的材料尽快确定,提前做试配,以免耽误工程需要。管理人员及劳务人员进场进行安全及技术培训,明确质量目标。
(5)方案编制计划,见图4-1(略)
(6)试验计划,见图4-2(略)
(7)新技术应用计划,见表4-3(略)
第二节 工程准备
(1)与环卫、交通、城管、街道等联系,熟悉周围环境,建立良好关系。
(2)测量定位,并校对保护红线桩位。
(3)根据图纸及招标文件计算材料用量,对本工程一些重要急需的物资提前进行市场调研。
(4)根据工程特点和要求,完善项目班子、做好机械设备、劳务、资金等资源配置。
(5)进行临时设施施工,场区硬化、绿化,进行现场形象设计。
(6)进行办公区、临水、临电等临时设施施工。
(7)对现场进行围挡,使其美观大方,符合北京市及公司要求。
第五章 施工总平面布置
第一节 施工总平面布局
一、施工总平面布置的总体思路结合现场条件,充分利用现有场地的硬化地面和原有的给排水管线。把施工区和现场办公区及生活用房分离,减少相互影响。成品钢筋堆放、模板堆放、周转材料堆放等场地尽量安排在距离卷扬机和施工电梯较近的范围内,这样可以减少二次搬运工作量;把有噪音和粉尘污染的机械设备安排在远离街道的地方,并作全部封闭处理,尽量避免扰民。
二、施工现场临时用房
现场南面盖一栋三层板房用作现场施工办公用房和工具、材料库及现场生活用房,工人宿舍在场外就近租赁。
施工现场生活办公用房建筑面积统计表,见表5-1(略)
三、施工现场围挡及防护设施
现场在南侧和北侧各设一个大门,南侧大门为主要出入口,北侧大门仅作为配合出入口。为保证南侧原民航总局门卫室的正常运行,在南侧大门的出口处做必要的防砸防护棚,保证过往人员的安全。
现场东侧和西侧的场地空间相对较小,同时又与原有的周边建筑物毗邻,在拆除连廊时,先在连廊的中段和西段设置支撑,并搭设全封闭的防护防砸棚,确保原有连廊及电讯墙在施工过程中完好无损;在东侧对隆福大厦与办公楼相邻的部分设置防砸防护棚,防止在外墙拆除和施工过程中对隆福大厦的正常使用产生不良影响。施工现场的东南角有古树一棵,对其伸入施工现场的树冠部分作必要的架设、防砸等防护措施,严禁生活及施工废水直接流入古树根部。同时根据现场消防防火规定,在施工现场设置足够的消防灭火器材,消防桶、消防锹、消防镐、消防砂等。生活办公区分别设置在东侧一套、北侧入口一套、南侧大门口一套。
四、临时道路
利用在场内原有的混凝土路面,标划出专用的宽6m 的场内运输道路,严禁在标志的路面上堆放材料设备和进行临时作业,以便于场内运输和满足现场文明施工需要。在第41 至42 轴之间的首层留出一跨,结构装修穿插施工,为施工现场的南北交通提供方便。
五、临时用水
临水系统包括临时生产给水系统、生活用水、消防系统及现场临时排水系统。现场的临时用水原则上利用原有室内的给排水管道、消防管道的立管,在档案室门口接驳施工临时用水,用两根直径70 的管道,接入从原有建筑拆除的水箱中,通过增设增压水泵,将水提升到屋顶水箱中,使供水压力达到施工现场要求,供生产和生活所需。单独装设水表,同时满足楼后热交换间的供暖及供热用水。对室外临时管线进行埋深处理,不具备条件的用红砖砌体保护,并作好保温处理,以防冬期冻坏管道。按照北京市建设施工现场的消防防火的有关规定设临时消火栓若干处,配备水龙带和水枪,满足施工现场消防防火的要求。屋面设临时排水管,确保雨雪水不漫流、不积存。施工用水需经沉淀池再排入市政雨水系统,生活污水需经化粪池再排入市政污水系统。用水高峰期在加固及新建结构期间,此时用水量计算如下:

六、临时供电
由于本工程机械设备繁多,供电质量要求高,可靠性高,所以临时设施应标准、规范,并确保用电设备及人身安全,严格执行《建设工程施工现场供用电安全规范》(GB50149-93)和《施工现场临时用电安全技术规程》规定,建立并健全施工现场临时用电管理制度,并做到值班电工均持证上岗,安排专人负责。
1.主要电气设备容量统计,见表5-2(略)
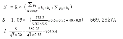
2.用电量计算

S——施工工地总用电量,kVA;
I——-施工工地总计算电流;
Ue-——线电压;
ΣP1——施工工地动力设备额定功率之总和,578.2kW;
ΣP2-----施工工地照明设备用电量之和,40kW;
n -----动力设备效率,平均取n=0.85;
cos φ-----动力设备功率因数,平均取0.6;
K-----安全系数,取K=1.05;
K1-----所有动力设备同时使用系数,取0.6;
K2-----动力负荷系数,取K2=0.75;
K3-----照明设备同时使用系数,取K=0.8;
3.施工用电负荷
依据以上计算利用建设单位提供的变压器(800kW 一台)即可满足工地临时用电。
4.施工现场临电设置
施工现场临电详见施工总平面图,在新变配电室投入使用前,现场施工用电引自东北角原变配电室,工地施工用电均采用电缆埋地敷设,在楼内沿原电气竖井敷设,每层设层配电箱两台。室外电梯等大型用电设备均独立设配电箱,直接由变配电室供电。室外照明采用镝灯照明,室内采用36V 低压行灯照明。待新变配电室投入使用后,施工用量主要是室内装修机械及照明,用电量减少,可利用新变配电室内低压柜的备用回路向施工用一级配电箱供电。
5 工地用电安全措施
(1) 所有电工均需持证上岗,且穿绝缘鞋和配带其他安全用具。
(2)现场所有配电箱应防尘、防水、防晒,且能上锁,箱体应涂安全标志配电箱统一编号,箱内无杂物,不使用的配电箱应切断电源,箱门上好锁,箱体、配电板均需做好接地处理。
(3)潮湿的场所宜使用低压照明,电压不超过36V,特别潮湿的场所用12V 电压,电源线宜使用橡套电线。
(4)灯头与易燃物净距一般不少于30cm,流动性碘钨灯用金属作支架时,应有接地保护,并水平放置。
(5)电焊机应做到双线到位。
(6)对于塔吊和提升架以及架子管等在施工时应做好接地防雷保护。
(7)非专业电气工作人员,严禁乱动电气设备。
(8)凡未经检查的电气设备均不得安装和使用,露天使用的设备应有良好的防雨措施,凡被雨淋的电气设备应进行必要的干燥处理,经绝缘检测合格后方可使用。
七、卫生设施
临时厕所墙面、地面铺贴瓷砖,并设冲水式卫生洁具;在施工现场的第一段和第二段每隔一层各设活动式简易临时厕所,派专人负责清扫;现场办公区设置生活垃圾箱,定时清理;在南侧大门及北侧临时出入口附近设施工垃圾池各一处,每天清运出场。
八、施工现场材料堆放及加工场地布置
因本工程施工现场场地狭小,施工阶段计划在主楼南侧设置三台双笼施工电梯。分别位于原有建筑的南墙的30~32 轴之间、46~47 轴之间、51~52 轴之间,详细位置见施工总平面图(附后)。另外在北侧的群楼增设两部临时提升架,解决垂直交通问题。同时按照施工的不同阶段,在整体保持连续一致的基础上,分别进行现场的施工平面的布置,包括如下阶段:拆除阶段、基础加固阶段、主体结构加固施工阶段、装修阶段。
(1)本工程现场拆除阶段,在南面较大的场地设置垃圾分类场,对现场拆除物品进行初步分类后,及时运出场外;在南北靠近建筑物的地方设置临时渣土堆场,能够在特殊情况下储存一定的渣土,不影响拆除施工的连续性。
(2)本工程基础及基础加固阶段,基础及结构采用商品混凝土,预留混凝土罐车的停车位置(北侧不利于泵车停泊处,采取特殊的施工措施,如:夜间施工或人工倒运等),保证现场浇筑混凝土的顺利进行,尽量减少泵车的移动次数,提高混凝土的浇筑速度。现场在南侧布置钢筋成品、半成品堆放场地及小型钢筋加工场地,模板加工与堆放场地,周转材料堆放场地,一段和二段的两台施工电梯分别临近相应的施工现场和加工料场,缩短场内二次搬运距离。在基础加固施工完成后,迅速组织验收,并及时回填,为后续工作提供更大的施工场地和空间。
(3)在工程的主体加固和外围结构施工的过程中,除了要按上述的要求布置现场的材料和设备以外,同时因为加固施工期间需大量的水泥及豆石,所以在现场南侧设置混凝土备料场,备有大量砂、石、水泥;钢结构施工型材堆放场地和临时焊接组装场地。
(4)装修工程施工阶段,由于工序多,分包单位多,专门增加分包方材料的仓库面积,重新划分各项室内、室外装修施工的仓库和室外加工组装场地和办公用房。具体各阶段的布置详见各阶段的施工平面布置图。
第二节 现场CI 设计
为做到文明施工,保持我单位的良好形象,我们在工程中引进CI设计标准,力争在该地区创文明样板工地。
(1)外部形象作到:围挡结构、大门、广告标志、清洁美观,统一规范,同周边环境协调一致。
(2)现场形象:现场内临时建筑、标牌、信号、图板、货场、料架、场内设备、员工着装、安全帽、身份识别卡按我单位规定标准执行。
(3)内部形象:统一临建房牌及室内装修,计算机、通讯设备配置、室内墙地面色彩、及办公用品和桌椅的布置。
第六章 劳动力计划及主要设备、材料、构件用量计划
第一节 劳动力配备与计划
一、主要工种劳动力配备及使用计划
我公司将根据工程实物量和施工进度计划,按照充足、均衡、高效的原则,合理组织劳动力,确保工程按时、优质地顺利完成。本工程按照项目法施工原则,配备强有力的项目管理班子,并在单位内部或市场上选择技术素质高的劳务队。土建及精装修施工拟选用技术素质高、与我单位长期合作的、成建制的具有一级资质的公司,作为本工程的配属队伍,以劳务分包的形式组织本工程施工,所有建筑、装饰材料和施工机械均由我单位提供,拆除工程拟选用技术力量强、经验丰富的静压破碎专业队伍配合我单位进行,项目经理部将严格按照分包计划及对分包队伍的管理措施负责施工的组织、管理、检测和控制;给排水、采暖、通风、电气等专业施工均由我单位专业化公司承担,确保劳动力数量和素质。
根据本工程各主要分部工程实物工作量和工期要求,本工程各施工阶段主要工种劳动力配备立足满足需要。
(1) 拆除阶段主要工种劳动力配备计划,见图6-1、6-2、6-3、6-4 所示(略)
(2)基础(包括主楼基础加固)施工阶段主要工种劳动力配备计划,见表6-1(略)
(3)主楼主体加固及新建部分主体施工阶段主要工种劳动力配备计划,见表6-3(略)
(4)装修施工阶段主要工种劳动力配备计划,见表6-4(略)
所有施工人员进场后必须先进行质量、安全、文明施工教育;重要专业工种要求必须经培训考核后持证上岗。
第二节 主要施工机械、设备及材料使用计划
一、主要施工机械、设备用量计划
配备施工机械设备的原则是:满足工程施工需要,提高工效,并适当注意经济节约。
1.垂直运输机械的选择
现场安设3 台室外双笼施工电梯,负责主楼加固材料、装修材料及施工人员的上下;功能用房及主楼7 层以下部分现浇板和剪力墙混凝土施工时,配置1 台输送能力为40m3/h 移动式混凝土输送泵车;主楼7 层以上部分现浇板和剪力墙混凝土施工时,配置1 台输送能力为60m3/h 固定式混凝土输送泵。功能用房钢结构及其他材料的吊装采用2 台汽车吊吊装,屋顶钢结构吊装采用临时在屋顶焊制简易电动提升架吊装。
2.其他施工机械的选择
本工程需用的其他施工机械设备包括:
(1)土方、渣土清运机械挖掘机2 台,装载机2 台,推土机1 台,自卸汽车12 辆;
(2)混凝土、砂浆施工用机械混凝土输送泵1 台,混凝土泵车1 台,混凝土运输车10台,砂浆搅拌机4 台,混凝土搅拌机2 台,插入式混凝土振动器12 套,平板式振动器6 台;
(3)钢筋机械钢筋弯曲机2 台,钢筋切断机2 台,钢筋调直机2 台,钢筋套丝机1 台,BX-300 交流电焊机4 台,BX-500 交流电焊机6 台,砂轮切割机2 台,砂轮磨光机4 台;
(4)木工机械木工圆踞机床2 台,压刨机2 台,平刨机2 台,木工多用机床2 台以及其他水、电专业施工用小型工具;
(5)其他大小空气压缩机12 台 ,主要用于模板清理和木工气钉枪;潜水泵4 台,污水潜水泵2 台,台式钻床2 台,电锤10 台,蛙式打夯机3 台等。
根据本工程的规模、特点及所包含的施工内容,拟投入本工程的主要施工机械、设备用量计划如表6—5 所示。(略)
二、主要材料试验及质检仪器、设备用量计划
拟投入本工程的主要材料试验及质检仪器、设备用量计划如表6-6(略)
三、主要施工材料用量计划
开工前项目材料部门对北京市建筑材料市场的供货渠道及市场行情进行认真调研,钢筋、水泥等主要材料由我公司下属物资公司统一从国家重点生产企业直接采购,能保证质量和大宗采购优惠,其他材料由项目材料部门根据月材料需用计划负责采购。
根据施工进度计划,主楼加固柱模板按两层配置、梁板模板及支撑均按四层配置能基本满足要求;各种配属用房梁板柱模板均一次配齐。
各种主要施工材料用量计划如表6—7所示(略)
第三节 主要工程材料、设备用量及进场计划
根据招标文件要求,结合我单位所做报价及总体工程进度安排,本工程主要工程材料、设备用量及进场计划如表6—8、6—9、6—10 所示
一、土建、装修部分主要工程材料、设备用量及进场计划,见表6-8(略)
二、水暖、通风空调部分主要工程材料、设备用量及进场计划,见表6-9(略)
三、电气部分主要工程材料、设备用量及进场计划,见表6-10(略)
第七章 施工进度计划
第一节 施工总工期安排
一、工期目标
本工程拟于2001 年12 月18 日正式开工,计划2003 年2 月18 日竣工,计划工期428 日历天。
二、进度计划安排
本工程计划于2001 年12 月18 日正式开工, 施工准备至1 月7 日,计21 个工作日,于12 月18 日开始拆除清理,至2002 年3 月10 日完成拆除清理工作,共计用83 天,主楼加固从2002 年1 月28 开始至6 月30日前结束,共计154 天,电讯间整修从2002 年1 月28 日开始至2002 年5 月25 日历时118 天。
主楼内部初装与恢复从2002 年5月25 日开始到9 月3 日完成,历时102 天,主楼外部装饰装修从2002 年7 月1 日起到11 月10 日结束。变电站设备安装调试从2002 年7 月1 日起到8 月12 日结束,装饰装修工程从2002年8 月13 日起到2003 年2 月13 日结束,电梯安装调试从2002 年8 月13 日起到10 月20 日结束,主楼空调系统安装调试及消防报警与弱电综合布线从2002 年5 月26 起到11 月9 日结束,消防报警与弱电安装调试从2002 年11 月10 日到2003 年2 月17 日结束,设备安装从2002 年5 月26 日至2003 年2 月17 日。新建工程从2002 年2 月4 日开始到3 月15 日结束,一至五层精装修从2002年8 月13 日到2003 年2 月13 日结束。而后进入竣工清理阶段。2003 年2 月18 日竣工。总工期428 日历天。详见施工进度计划图。
第二节 保证工期措施
本工程工序繁杂,工程量比较大,施工场地狭小,场外因素影响比较多,保证工期措施如下:
一、施工机械保证
在编制本施工方案时,充分考虑了施工工期与施工材料的运输量,并加以考虑了施工机械高峰期的运输作业量,本着一切为施工进度考虑,加大施工机械的配备,具体的主要施工机械详见有关的施工机械一览表。我们相信,在施工机械、设备方面一定能够作到保障有力。
二、施工人员保证
为加快施工进度,组建由高素质的管理人员及专业技术人员组成的项目经理部与招标方合作,全面负责工程的现场施工。同时给予项目经理部最大的授权,以充分发挥项目经理部全体人员的积极性和主观能动性。在施工人员安排上,首先选取在我公司有实力的稳定的并且在农忙时节不进行休假回家持续生产的,而且在我公司连续三年取得优质工程的施工队伍。以保证施工队伍的素质及劳动熟练程度,项目保证拆除主要劳务人员不少于246 人。高峰期施工人员达到500 人。
三、材料供应保证
我公司专门设有雄厚的物资公司、仓储场地、周转材料租赁中心,同时拥有数十家常年合作的合格分供物资单位,对施工过程中的材料优先及时供应,对工程提出的材料计划及时响应,及早作出计划安排,对工程急需的常用材料可以作到24h 内供货。
四、施工管理措施保证
(1)深入工程第一线,及时发现问题,解决问题,调解各施工队在机械、材料使用方面的矛盾,协调队与队之间,施工队同项目各业务人员之间的关系,保证施工顺利进行。
(2 )每周召开工程例会,检查生产任务完成情况,对于存在的问题,布置责任人落实整改措施。
(3)施工队班组之间展开劳动竞赛,每月进行一次,每月共检查三次,三次评比总分第一名发给现金奖励2000 元,并颁发流动红旗一面。
(4)加强对各分包的管理,分包的施工进度必须服从总包的总体施工进度计划。
(5)加强三检制度和过程控制,通过一次成优加快施工进度。
(6)采用计算机软件Project2000 进行施工进度的全程跟踪管理,及时调整施工计划,力求达到强度均衡、速度均匀、资源利用合理。
五、施工技术措施保证:
组织人员对施工图纸进行仔细审核,如发现施工图纸设计存在不完善之处,尽早提交招标方、监理、设计院有关人员,协助处理有关问题,并将有关信息及时传达给相关施工队伍。每一分部分项工程施工之前编制详细的可行的施工方案,并与相关施工队伍详细交底,使其充分领会施工技术要求,避免施工出现不必要的返工。在技术方案编制过程中,综合各种施工因素,制定切实可行的施工方案,做到计划方案先行。在科技投入上,现场配备5 台计算机,项目施工进度控制、钢筋放样、模板放样、工程预算、财务报表、成本控制、材料管理、技术资料管理等方面广泛采用计算机进行动态管理。加大新技术、新工艺、新材料的推广应用力度,在钢筋连接、模板体系及装修工程等方面采用国内较先进的工艺技术,促进施工进度。
六、安全生产措施保证
安全生产是施工工期保障的前提条件,为此,项目专门成立安全文明生产领导小组,由项目经理负责牵头,安全部门、工程部门、技术部门负责实施的机构,除对现场的劳务人员进行进场安全文明生产教育外,还定期对劳务人员进行进场后安全教育。并加强施工机械作业的安全教育及安全技术保障措施。
七、施工时间方面保证
为加快施工进度,项目部努力与当地周围工厂、居委会、环卫局、政府部门和单位取得联系及信任,积极主动解决施工生产扰民工作,以取得以上部门和单位的合作。施工生产过程中按照ISO14001 环境质量体系要求,尽可能减少施工噪声、施工扬尘、道路遗撒等污染环境等因素,尽可能延长施工作业时间,在冬雨期施工中,只要气候环境允许,在保证施工安全及施工质量的前提下,坚持持续施工,尽量避免由于天气影响造成的工期损失,以保障施工任务的顺利完成。
第八章 主要项目施工方案
第一节 拆除工程
一、拆除内容
吊顶、内隔墙、地砖、门窗、外墙砖、墙板、预制顶板、水电管线和设备、室外附属建筑。
二、拆除顺序
先清理完办公楼内遗留办公物品,然后进行拆除工作。室外附属建筑拆除与室内拆除同时进行,拆除的垃圾及时运走,以便腾出工作面。室内先进行水电管线拆除(保留二根消防水管),再依次拆除棚顶→门窗→隔墙→地砖,隔墙要从上往下拆,部分预制顶板及外墙板待结构加固到该部位时拆除后再加固。
三、拆除方法
(1)顶棚:拆除顶棚时要设置梯子,工人在梯子上将吊顶拆除,不得站在楼(地)面上用木棒敲击方法等拆除吊顶,以免损坏原结构或吊顶落下伤人,拆除时工人要戴安全帽、手套和口罩;
(2)门窗:门窗拆除时要用改锥等工具先拧下螺丝等连接件,轻拆轻放,堆放整齐,运输时要注意保护;
(3)外墙砖:外墙砖拆除时要尽量少破坏基层,避免对墙体产生大的振动,拆除时从上往下进行,外墙四周设置明显标志,严禁行人靠近;
(4)内隔墙:原结构内隔墙为灰渣混凝土,配有少量钢筋及竹条,整体性较好,采用静压破碎方法,严禁使用大锤,避免对主体结构产生破坏;
(5)预制楼板及预制外墙板:采用静压破碎方法,注意保留相邻跨预制板胡须连接筋,确保其有效拉接锚固;
(6)梁、板、柱及节点剔除本着尽量减少损害原结构的原则,严禁使用大锤。
7.室外附属建筑:拆除前检查有无保留价值的或需要保护的部分,妥善处理后,用破碎机辅以人工配合拆除,拆除过程中注意对办公主楼的保护。
四、垂直运输
拆除下来的垃圾利用办公楼原有的电梯进行运输,电梯使用中设专人管理,对电梯内壁设置保护,严禁超截。
五、清理及外运
尽早联系好垃圾消纳场所,办好车辆运行通行证,准备好充足车辆,拆除后的垃圾及时运走。
第二节 加固工程
一、加固内容及要求
新增钢筋混凝土剪力墙及基础,混凝土强度等级C30;框架梁、柱加固采用C35 喷射混凝土;结构顶板加固采用现浇板粘钢加固、现浇板加50mm 钢筋混凝土后浇层、拆除旧板新浇钢筋混凝土板、加肋加固四种方法。
二、加固顺序
(1) 在原有建筑与新建筑相邻处,先进行原有建筑加固,后施工新建筑;
(2) 先拆除原有内隔墙卸载后再进行框架结构加固;
(3) 加固按从基础至顶层顺序,严禁隔层跳跃进行;
(4) 加固前制定出可靠的施工支护及卸载方案,确保原结构及施工安全;
(5) 加固时应注意预制楼板和预制外墙板的整体稳定与安全,对预制楼板采取可靠的支护措施,对预制外墙板及外挂薄壁柱先采取与框架的锚接加固措施,后加固主体;
(6) 加固时需破损局部预制构件,在保证预制构件稳定安全的基础上,先完成加固再恢复且加强原预制构件的构造连接;
(7) Ⅰ段和Ⅱ段变形缝间3 根柱的部分切除待剪力墙达到设计强度后进行;
(8) 剪力墙与原柱连接钻孔锚筋前应先用角钢和钢板箍对原柱进行加固后进行。
三、具体加固方法
1.喷射混凝土的施工
柱加固钢筋由于直径较粗,数量有限,采用楼板打穿孔的方式穿筋,孔隙间采用CGM 无机料填塞;柱子的锚拉筋采用双面墙体锚拉筋方式进行拉结;梁加固钢筋采用梁底加主筋,箍筋采用与原有梁箍筋焊接的方式连接。喷射混凝土的强度为C35,喷射混凝土原材料要求如下:水泥强度为普硅P.O.42.5,5~10mm 的豆石,含泥量为2%以下的中干砂,喷射混凝土浇筑之前1h,用搅拌机搅拌豆石混凝土干料,控制好施工配合比;根据季节性施工情况的变化,在施工温度小于5℃时加入水泥用量1%的速凝剂,掺加的速凝剂在施工之前进行化学检测,做水泥相容性试验及水泥净浆凝结试验,初凝时间不得大于min,终凝时间不得大于10min。试验合格后方可使用;喷射混凝土的搅拌完的干料必须及时使用,要做到随搅拌随使用,因现场实际使用的砂子中或多或少含有一定的含水率,如不及时使用,将会使干料板结,容易引起喷射输送管堵塞,严重的造成混凝土强度降低;现场要求没有掺加速凝剂时存放时间不得超过1h,掺加速凝剂时存放时间不得超过15min。
混凝土喷射前为保证混凝土的厚度均匀及表面平整,喷射施工前要进行贴灰饼冲筋,施工时注意掌握喷射厚度;喷射混凝土时要注意掌握水流量的大小,混凝土的坍落度以30—60mm 为宜,否则会造成混凝土的流坠或混凝土的回弹损失过大;每一部分的墙柱喷射完毕后,在混凝土初凝前由专人负责
混凝土表面用刮杠找平及找垂直,以利于以后的墙柱抹灰,减少抹灰厚度;梁的加大截面喷射混凝土采取两边支侧模,由下向上喷射的施工顺序,为防止喷射混凝土向下坠落,要求梁的底筋间距不能大于100mm,大于100mm的要加设小直径分布筋,防止喷射完混凝土后坠落。
2.粘钢加固法的施工
粘钢加固的效果主要取决于粘结施工质量。粘钢加固施工应严格按下列工艺流程进行,并由专业化施工队伍施工。主要施工工艺流程如下:表面处理→配胶→粘贴→固定及加压→固化→检验→防腐处理
(1)表面处理:表面处理包括加固构件结合面处理及钢板贴合面处理,是最关键的工序。对于混凝土构件结合面,应根据构件表面的新旧程度、坚实程度、干湿程度,分别按以下四种情况处理:
1)对很旧很脏的混凝土构件的粘合面,应先用硬毛刷蘸高效洗涤剂,刷除表面油垢污物后用冷水冲洗,再对粘合面进行打磨,除去2~3mm 厚表层,直至完全露出新结构面,并用无油压缩空气吹除粉粒。若表面严重凸凹不平,可用高强树脂砂浆修补。
2)如混凝土表面不是很脏很旧,则可直接对粘合面进行打磨,去掉1~2mm 厚表层,用压缩空气除去粉尘或用清水冲洗干净,待完全干燥后用脱脂棉蘸丙酮擦拭表面即可。
3)对于新混凝土结合面,先用钢丝刷将表面松散浮渣刷去,用清水冲洗,待完全干后即可。
4)对于湿度较大的混凝土构件或龄期在三个月以内的混凝土构件,因一般树脂类胶黏剂在潮湿的基层粘结强度会大幅度降低,则可选用在潮湿面粘结的水下结构胶品种。
(2)配胶:目前各种结构加固用胶黏剂基本上为甲、乙双组份,须在使用时于现场临时配制;配制原则上应按产品使用说明书规定进行,但由于胶的时限性较强,使用前还应进行现场试配,根据当时当地气温条件及存放时间长短作适当调整,选择各项力学指标均为最优的配比;按选定配比称量,将甲、乙两组份倒入干净容器,采用机械按同一方向进行搅拌,至色泽完全均匀为止。
(3)粘贴:胶黏剂配制好后,用抹刀同时涂抹在已处理好的混凝土表面和钢板贴合面,为使胶充分浸润、渗透、扩散、粘附于结合面,宜先用少量胶于结合面来回刮抹数遍,再添抹至所需厚度(1~2mm),中间厚边缘薄,然后将钢板贴于预定位置;若是立面粘贴,为防止流淌,可加一层脱蜡玻璃丝布。钢板粘贴后,用手锤沿粘贴面轻轻敲击钢板,如无空声,表示已粘贴密实,否则应剥下钢板重新补胶粘贴。
(4)固定与加压:钢板粘贴好后立即用卡具、支撑或膨胀螺栓等固定,并适当加压,以使胶液刚从钢板边缘挤出为度;膨胀螺栓一般兼作钢板的永久附加锚固措施,其埋设孔洞应与钢板一道于涂胶前配钻。
(5)固化:前面提到的几种结构胶黏剂都是在常温下固化,24h 即可拆除夹具或支撑,3d 即可受力使用;若气温低于10 度,应采取人工加温,一般用红外线灯加热;固化期间不得对钢板有任何扰动。
(6)检验:粘钢的同时必须按GB-7124-86 所述方法以相同条件制备钢-钢拉伸剪切试件及钢-混凝土双剪试件各5 个,进行粘结抗剪强度试验;钢-钢粘结抗剪强度试验值不得低于该种胶的相应值,钢-混凝土抗剪破坏必须发生在混凝土上。加固构件的粘钢质量,一般采用非破损检验,即外观检查钢板边缘溢胶色泽、硬化程度,以小锤敲击钢板检验钢板的有效粘结面积;锚固区有效粘结面积不应小于90%,非锚固区有效粘结不应小于70%。
(7)防腐处理:外部粘钢加固钢板,应按设计要求进行防腐处理。当外抹砂浆保护层防腐时,为利于砂浆粘结,可于钢板表面粘结或外包一层钢丝网或点粘一层豆石,并在抹灰时涂刷一道混凝土界面剂。如有其他要求应要求作其他表面处理。
第三节 基坑降水工程
根据招标方提供的1959 年、1985年、1996 年,关于民航总局办公楼及其附属建筑的地质勘察报告(没有2001 年度的地勘报告),可以发现地下水位标高在逐年下降,1996 年已到-13.50m.另据调查,最近施工的民航大楼附近的建筑物地下水位为-15.00m 左右,再加上北京市水位整体发展情况,可以推断本工程开挖深度为-6.40m 和-8.00m 时不会遇到承压水,根据结构设计提供的地下水位为-6.40m 的情况,考虑到此水应为上层滞水。基坑开挖前先挖一探井观察实际水位情况,如水位在基坑设计标高以下,则不需要降水;如实际水位在基坑设计标高以上,影响基坑开挖和施工时,则需考虑进行降水,具体降水方案如下:
一、地形
场地位于北京市东城区隆福寺西侧民航总局院内,场地地形平坦,地面平整。
二、工程地质、水文地质条件
1.地层构成
根据北京勘察设计院所做《民航总局办公楼工程报告》,场地表层为填土层,下为一般第四系冲洪积层构成。
(1) 一层填土:黄褐色,稍湿一饱和,松一中密,含层砖头,层底高程 40.25~43.05m;
(2) 二层粉细砂与黏土交互层:层底高程37.89~39.64m;
(3) 三层黏土与粉土互层:层底高程36.70~37.91m;
(4) 四层粉砂层:层底高程34.03~36.22m;
(5) 五层细砂与中砂互层:层底高程31.15~31.71m;
(6) 五层卵石:层底高程26.00~26.34m.
2.地下水
本次设计提供地下水位埋深6.40m。
三、降水方案设计
1.设计依据
北京勘察设计研究院所做《民航总局办公楼工程报告》。
2.降水方案的选择
根据目前掌握的资料,地下水为上层滞水,依据我单位以往降水的成功经验,根据降深要求,本次降水在基坑外侧采用管井降水的方案,水位降至-7.0m;为避免原有建筑物不均匀沉降,内侧剪力墙加深部位采用止水帷幕,帷幕内采用明排水。
3.结构设计
(1)管井单井结构设计
1) 井深;13m;
2) 井距: 8m;
3) 井径大于600mm,管外径400mm,采用无砂混凝土井管;
4) 滤料选用2~4mm 碎石;
5)水泵选用0.55kW 1 吋或1 吋半潜水泵,扬程大于15.0m;
(2)帷幕设计
设计采用双排搅拌桩帷幕,搅拌桩直径500mm,桩间距350mm,桩与桩之间相互咬合150mm,两排桩排间距350mm,排柱之间相互咬合150mm 基坑下挖5m 后,进行搅拌桩施工,帷幕桩长6.0m。
四、施工工艺
1.管井
(1)工艺流程如下:
确定井位→钻孔→换浆下入井管→填滤料洗井→试抽→铺设排水管路→设置配电箱→联网→抽降
(2)成井采用回转钻机或冲击钻机孔内造装成孔,要求井深误差<±0.1m,井距误差<±0.1m,井斜<1%,井口高出地面0.20~0.30m。孔深达到设计要求后,充分循环,置换孔内稠浆,清除孔底沉渣,随后立即下入井管并填滤料,成井后立即洗井,采用高压注水的方法洗至水清砂净。全部管井施工完成后,安设排水管路并网抽水。
2.防渗帷幕
(1)浆液配制
采用32.5 级号普通硅酸盐水泥,水泥掺入比为15%~20%,桩底强度不低于1.5MPa,浆液水灰比为 0.45~0.50,使用砂浆搅拌机制浆,每次搅拌不少于3min;制备好的水泥浆不得停置时间过长,超过2h 应降低强度等级使用;浆液在灰浆搅拌机中要不断搅拌,直到送浆前。
(2)施工流程
桩机就位→钻进喷浆到底→提升搅拌→重复喷射搅拌→重复提升复拌→成桩完毕
(3)技术要求
1)桩机就位:利用起重机开动绞车移动深层搅拌机到达指定桩位对中;为保证桩位准确,必须使用定位卡,桩位对中误差小于5cm;导向架和搅拌轴应与地面垂直,垂直度的偏差小于1%。
2)喷浆成桩:开动灰浆泵,证实浆液从喷嘴喷出后启动桩机向下旋转钻进,喷浆成桩;要求连续喷入水泥浆;钻进速度为 1.0m/min,转速60r/min 左右,喷浆压力控制在 10~14MPa,喷浆量控制在30L/min;钻进喷浆成桩到设计桩长或层位后,原地喷浆 0.5min,再反转匀速提升;深度误差小于5cm。
3)提升搅拌:搅拌头自桩底反转匀速搅拌提升,直到地面;搅拌头如被软黏土包裹时,应及时清除。
4)重复钻进搅拌:按上述2)操作要求进行,如喷浆量已达到设计要求时,只需复搅不再送浆,否则应继续喷浆。
5)重复搅拌提升:按照上述c)操作步骤进行,将搅拌头提升到地面。
(b)成桩完毕:连同3)、4)、5)共进行3 次复搅,即可完成一根搅拌桩的作业;开动灰浆泵清洗管路中残留的水泥浆,桩机移至另一桩位进行施工。
(4)施工中的注意事项
1)机具下沉搅拌中遇有硬土层阻力大,下沉慢且搅拌钻进困难时,应增加搅拌机自重,然后启动加压装置加压或边输入浆液边搅拌钻进成桩。不宜采用冲水下沉搅拌,凡经输浆管冲水下沉的桩,喷浆前应将输浆管内的水排尽。
2)桩机操作者应与搅浆施工人员保持密切联系,保证搅拌机喷浆时连续供浆;因故需停浆时,须立即通知桩机操作者;为防止断桩应将搅拌机下沉至停浆位置以下0.5m(如采用下沉搅拌送浆工艺时则应提升0. 5m),待恢复供浆时再喷浆施工;因故停机超过 2h 时应拆卸输浆管进行彻底清洗管路。
3)设计要求搭接成壁形桩,应连续施工相邻桩,施工间隔时间不能超过24h;为保持帷幕的整体性,相邻桩的搭接厚度应大于10cm。
4)施工中设专人详细记录搅拌机下沉或提升每米的时间、供浆与停浆的时间,记录深度误差小于5cm,时间误差小于5s;在施工中发生的问题及处理情况均应加以记录并说明。
五、设备配备
深层搅拌钻机GZB-600 型2 套,钻机12 台,洗井设备1 套,潜水泵12 台,电闸箱2 个,电缆线若干米,排水总管若干米,其他辅助设备
六、质量保证
(1)按设计要求确定井位,井位偏差不大于0.1m。
(2)成孔时,应确保孔身圆正和垂直,孔身直径达到或大于设计孔径,井孔深度达到并不超过设计孔深的2%。
(3)终孔后,立即换浆下管,下管时井管要求居中,下管后立即填料,填料时滤料应在井管四周均匀连续填入,随填随测,每眼井填料量不得少于设计计算方量为止。
(4)严格按施工要求施工。
七、施工安全保证措施
(1)开工前对施工人员进行安全生产教育,学习工程安全技术操作规定、工地安全生产管理和消防制度。
(2)专职安全员随时检查安全措施执行情况,发现问题及时解决,确保优质文明施工。
(3)电器设备由电工负责,非电工不准动用。
(4)设备经常检查,发现问题及时维修,严禁设备带病作业。
第四节 基坑开挖及支护工程
为满足柱加固需要,主楼需进行土方开挖;主楼开挖土方与新建基础开挖土方挖出后随时运出现场,待回填时再运回现场。
一、基坑开挖
(1) 新建基础土方采用机械和人工开挖相结合的方法进行,独立柱基土方采用履带式WY-100B 型反铲挖掘机开挖;当相临独立柱基距离较近时,采用机械开挖,人工配合修边;机械挖土时,基础垫层底预留300mm厚原土,改用人工清底以防机械超挖而破坏地基持力土层,人工清理土方时预留50mm厚,待打钎后,人工清出余土;运土采用自卸翻斗汽车及手推车相结合的方案进行,在土方开挖过程中测量放线员跟班作业,严格控制开挖范围及标高。严禁超挖土方扰动地基。
(2) 老楼基坑开挖采用人工方式进行挖土,开挖至老楼基础顶面,开挖宽度满足加固工作面要求,从柱轴线两侧各挖1m。
(3) 对施工区域内正在使用的通讯、电子、给排水、天然气等设施要通过当地有关部门摸清地下管线分布。地下管线较多,应先结合摸底情况布设人工探槽,彻底摸清地下管网分布,然后再进行机械开挖。
二、基坑支护
1. 西侧新建基础埋深-3.4m,室内外高差2.0m,实际从室外地面下挖1.4m 即可,不须特别采取护坡措施,按实际情况放坡,开挖剖面图见图8-1:(略)
2. 南侧和北侧基础埋深-6.4m,实际下挖4.4m,对该部分边坡进行喷锚支护方法进行加固,具体如下:
(1) 喷射前的准备。设置混凝土厚度控制标志,对喷射机具、风水管路和电路进行全面检查和试运行。
(2) 技术要求:
1) 设置锚杆:锚杆直径为20mm 的钢筋,入土深度为1.0 至2.0m,外露40mm,锚杆间距为800mm,端头与φ8 的钢筋焊接,入土角度20 度,满铺钢板网,挂网位置位于钢筋的端头的10mm 处,用火烧丝帮扎牢固。
2) 喷射混凝土厚度为80~150mm。
3) 使用32.5 号矿渣硅酸盐水泥,中砂或粗砂,5mm 粒径的豆石。
4) 混合料的配合比为1:2:2,砂率为50%,水灰比为0.42,速凝剂的掺量为水泥用量的2%。
5) 计量误差应符合下列规定:水泥、速凝剂为2%,砂、石料为3%。
6) 透水孔分布呈梅花状,间距为1.8m。
7) 喷射作业应分段分片进行作业。喷射顺序自上而下进行,每次喷射厚度为50~70mm。
(3) 喷射作业注意事项
1) 混合料用强制式搅拌机搅拌均匀,搅拌时间不得小于1.5min,混合料随拌随用,存放时间不得超过20min
2) 操作开始时,应先送风后开机,再加料,结束时待料喷射完成后再关掉风机
3) 喷射供料要均匀,喷头应与工作面垂直,喷射混凝土凝结2 小时后再进行喷水养护。喷锚支护如图示8-2:(略)
(4) 对临近建筑物部分的支护措施
由于北侧新建建筑与隆福广场牌楼( 三层结构, 底层架空) 相邻柱子相距2.5m,牌楼柱基础尺寸与埋深不详,为保证基坑开挖过程中牌楼柱基不发生沉降,基坑开挖过程中,除采用喷锚支护外,还要对牌楼进行沉降观测,结合现场情况确定是否采用进一步支护方案(钢支撑支护或小导管注浆加固)。
三、新建基础基底钎探
根据设计要求,基础施工前必须对基坑进行普遍钎探,对软硬显著不均之地层土质应共同协商处理。
1.探点布置
施工前根据规范要求绘出平面布点尺寸图,按纵向1.50m,横向1.50m,呈梅花型布点。
2.人工钎探方法
(1)工具:探杆用ф25 金属管,穿心锤自重为10kg。
(2)操作:自由落锤度约50cm,节拍要均匀,每入土30cm 记录一次锤击次数,钎探深度一般为1.50m。
(3)钎探时碰到锤击异常时,应立即向技术负责人报告,以便及时处理。
(4)打完的钎孔灌入黄砂,每300mm 厚用棒捣实一次。
(5)绘制平面布点图,并标明间距孔号及锤击数,资料及时整理归档。
(6)基土受雨后不得进行钎探。
3.质量标准
(1)保证项目:钎探深度必须符合要求,锤击数记录准确,不得作假。
(2)基本项目:钎位基本准确,探孔不得遗漏;钎孔灌砂应密实。
四、土方回填
1.本工程土方回填的范围为基坑的周圈肥槽,回填的标高由槽底至设计标高。
2.基坑回填土用翻斗车运土,人工铺料,采用蛙式打夯机夯实,每次铺设厚度不得超过25cm,每层夯3~4 遍。回填土料不得使用冻土、淤泥、建筑垃圾、有机杂质及含水量高的土。
3.基坑回填时,应从相对两边或四周同时回填,并分层夯实。
4.施工准备
(1)基础混凝土强度已达到规定的要求。
(2)基础肥槽清理:基础肥槽中的混凝土碎块与渣土清理干净且必须清理到基础底面标高处,对电缆线的甩头或水管的出头应由水电专业工程师交底,水电队配合下操作。
(3)回填土的准备:检查回填土有无杂质,粒径是否符合规定,以及回填土的含水量是否在控制的范围内。
(4)做好施工标记:根据建筑地面与绝对高程的相对标高,定出±0.000 的高度,保证室外散水及地面的做法,暂时定出室外标高线,作为回填高度的依据。由测量工在墙面上弹出水平标高线,并标识回填的高度。
(5)根据试压试验确定回填土的含水率,回填土应为与基础开挖时基本相同的土质,虚铺回填土的厚度为250mm,压实三遍。
5.施工工艺
施工顺序:基坑清理→土质检验→分层铺土→夯实→检验密实度→修整找平→下一层回填→验收
(1)防水层办完施工隐检记录,并报监理验收,检查防水保护层是否有不合要求,脱落等现象,将已破坏的部分及时修补,并验收合格;
(2)肥槽清理:将肥槽中回落的垃圾,砂浆,石子等杂物清干净;
(3)检验回填土的质量,有无杂物,粒径是否符合要求,以及测定回填土的含水率,比较含水率是否在最优含水率范围内,确保夯实达到最为密实,对含水率较大,采用加干灰或晾晒,含水率较低时,可采用加水湿润;
(4)回填土的筛分:对于进场的回填土,要求进行过筛,将土中的砖块和卵石等大块过筛、去除。
(5)回填土分层铺摊,采用蛙式打夯机分层夯实,每层厚度不大于250mm,每层铺摊完后,随之耙平,再用打夯机夯实;
(6)回填时,每层至少夯实达到三遍,打夯应一夯压半夯,夯夯相接,沿基坑的长度方向进行;
(7)对于不同标高处的夯实,先夯较低部分,对于一次不能夯实到位时,可斜向分层,坡度角为1∶2,上下层错缝不少于1000mm;
(8)每层填土夯实后,按规范规定进行环刀取样(每层每边各不得少于二组。取样部位在每层压实后的下半部),测出干土的质量密度,达到要求后方可进行上一层铺土;
(9)修整找平:填土全部完成后,进行表面拉线找平,超过标准高程的部位铲平,低于标准高程的应补土夯实。
6.注意事项
(1)夜间施工和白天肥槽中的施工,应配置低压电灯照明,作业面灯的设置不少于10m 一台。
(2)施工顺序应严格按照施工方案进行,防止铺填超厚,严禁汽车直接倒土入槽。
(3)各种管线应妥善保护后,再按规定回填土料,不得碰坏;施工时,应及时保证管线部分先施工,管道下部按标准要求用木捶填夯密实。
(4)回填土每层都应测定夯实后的干土密度,符和设计要求后才能铺填上层土。每层干土质量密度试验报告要注明土料种类、试验日期、试验结论及试验人员签字。未达到设计要求的部位,应有处理方法和复检结果。
(5)夯压时对干土可适当洒水加以润湿,如回填呈“橡皮土”现象,应将“橡皮土”挖出,重新换土夯实。
(6)施工时,对定位标准桩、轴线引桩、标准水准点、龙门板等,填运土时不得撞碰,也不得在龙门板上休息。并应定期复测和检查这些标准桩点是否正确。
7.填土取样
回填土取样采用环刀法。回填土前绘出每层取样点平面布置图,取样数量为水平方向20~50m,每层厚度25cm 取一点,经试验合格后继续回填土料。
8.质量标准
(1)保证项目
1) 基底处理必须符合设计要求或施工规范的要求;
2) 回填的土料必须符合规范和设计要求;
3) 回填土必须按规定分层夯实,取样测定夯实的干土质量密度,其合格率不应小于90%,不合格的干土质量密度的最低值与设计值的差不应大于0.08g/cm3,且不应集中,环刀取样的方法及数量应符合规定。
第五节 钢筋混凝土主体结构工程
一、钢筋工程
钢筋工程是结构工程质量中的重要一环,要把住材质、焊接、加工、绑扎的质量关和成品保护关,施工前要熟悉图纸,认真交底,施工过程中要跟踪质检,确保钢筋工程的质量。
1.材质要求
(1)进场钢筋应有出厂质量证明书或厂方试验报告单。
(2)外观检查:钢筋表面或每捆(盘)钢筋均有标识,钢筋表面不得有裂纹、折痕和锈蚀现象。
(3)力学性能试验:对进场钢筋,按现行国家标准的规定抽取试样作力学性能的试验,合格后方可使用。
2.施工准备工作
(1)做好钢筋施工的技术交底工作,钢筋由项目部放样组统一放样,现场施工前,首先由钢筋放样员按设计图纸及施工规范翻样,由土建专业技术人员核对签字后,下发给施工队。索取钢材试验报告单,核验材质合格后方可开始加工。对岗位操作人员证书进行查验,无证焊接人员必须经培训考试合格后持证上岗,在规定的范围内进行焊接工作。
(2)做好各种规格钢筋焊接接头型式的试验工作。
(3)垫块制作:钢筋保护层垫块用1:2.5 水泥砂浆制作,水泥强度等级不低于32.5 号。要注意对垫块的养护,确保其强度。
(4)对各种钢筋机械进行保养,安装和试车运转正常后方可使用。
3.钢筋加工
施工队拿到料单,核对无误后,按料单截料加工。下料时应统筹考虑,长短结合,注意提高钢筋的利用率。钢筋加工好后按料单分规格、型号、使用部位挂牌堆放,然后运至作业面绑扎安装。每堆钢筋料牌不少于两块,单件、少件的应单独存放,以免混淆。
(1)钢筋加工的质量要求
钢筋的断口不得有马蹄形或起弯现象。钢筋下料长度允许偏差不超过±10mm。
(2)钢筋的连接方式采用以下形式
柱内竖向主筋接头采用电渣压力焊连接,梁筋及Ф20mm(不含)以上的板筋以闪光对焊为主,Ф18mm 以下的钢筋采用绑扎接头。
4.钢筋绑扎
(1)柱筋的绑扎:柱筋接头位置按规定错开,柱筋绑扎前先校正垂直度和平面位置。柱子箍筋绑扎前,应在四角的主筋上划出箍筋的分档标志,然后才开始绑扎。每个节点均需绑扎,柱箍距板面50mm为第一道箍筋位置。钢筋绑扎完后,根据保护层厚度挂砂浆垫块,四面水平方向放置两块、垂直方向每隔60cm 放置一块。
(2)梁筋的绑孔:绑扎梁筋时,应在梁四角主筋上划出箍筋分档标志,然后才开始绑扎箍筋,先穿好腰筋,再绑箍筋及拉钩,拉钩应钩住主筋及箍筋。四角主筋用骑鞍式绑扣,以使主筋与梁箍筋圆弧部分相吻合。距柱边50mm 为第一道箍筋位置。
(3)楼板钢筋的绑扎:板筋绑扎时,应先划好分格标志,然后开始绑扎。下铁绑完后,通知水、电预埋管线,做好预留洞,然后开始绑上铁负筋,上铁负筋与下铁之间设“Π”型Φ10 钢筋小马凳,以保证钢筋位置正确。负筋绑好后,严禁在上面踩踏。
(4)剪力墙钢筋的绑扎
1)墙筋的布设位置:墙筋的水平筋布置在外,竖向钢筋布置在内。
2)墙筋及暗柱,凡在转角、丁字形连接处,根据板面弹线,吊好垂线后绑扎,以利于立模。
3)墙体的拉结筋应钩在外铡的水平钢筋上。
4)墙筋绑扎:除靠近外围两行钢筋的相交点全部扎牢外,中间部分可间隔交错绑扎。
5)墙上洞口加强筋按设计要求绑扎。
(5)钢筋绑扎完后,首先要自检,自检合格后,报请监理工程师隐蔽验收,验收合格后方可进行下一道工序。
5.防止钢筋位移的措施
(1)防止柱筋位移:在楼板上铁处应加绑一道箍筋,与楼板粱筋点焊,以防浇筑楼板混凝土时柱主筋移位。混凝土浇完后立即对柱筋位置进行复验,必要时及时进行纠正;事先用φ18 螺纹钢按照柱筋间距、位置焊好网格箍,在柱中上部位各套一个,确保浇筑柱混凝土时柱筋间距、位置准确无误。
(2)防止板筋位移:板筋绑扎成型后,严禁直接踩踏,在板筋上放置长1m 左右、用Ф20 的钢筋焊接的马镫,将脚手板放在马镫上,以备检查人员及浇筑混凝土时使用。
二、 模板工程
考虑该工程的特点,我们采用钢木(竹胶板)组合模板体系,支撑体系采用钢管脚手架配合早拆体系。钢木(竹胶板)组合模板体系的优越性是浇筑的混凝土质量好,表面光滑平整。
(1)钢木(竹胶板)组合模板体系的优点是:板面尺寸大,接缝严密,浇筑的混凝土表面光滑平整、接缝少、不漏浆,二是工效高,钢木楼板单位面积重量小,搬运省力;板面光滑,易脱模;板面尺寸较大,模板配件少,装拆简单;模板刚度大,支撑简单,综合提高工效2 倍以上。
(2)新建结构模板配置一次配齐。
(3)混凝土养护达到规范要求的强度后方可拆除模板,但保留养护支撑不动,直至达到设计强度。养护支撑间距不得大于2m。
(4)楼梯段采用胶合板支模,木方作肋,钢管顶撑支撑方案。楼梯拆模必须在混凝土强度达到100%以后进行。
(5)模板支设交接处采用企口龙骨贴止浆条,务必交接严密,尺寸准确,模板光滑平整,争取达到清水混凝土标准。
(6)梁板支撑选用角扣式脚手架,这种体系承载力大,使用方便、灵活,布置间距在600mm×120mm 左右,高度调节范围也较大。支撑头选用早拆支撑头或可调U 型托。
(7)对于跨度较大的梁、板支模时,应按要求起拱3‰;高度大于500mm 的梁采用拉杆加固,拉杆间距40~60cm。柱支模时,根据模板位置抹5cm宽2cm 厚水泥砂浆台,防止墙柱根部漏浆及保证模板下口整齐。楼梯支模时,应注意上下梯段踏步踢面错开2 个保护层厚度,装修完后使楼梯踢面齐平。
(8)常见质量通病及防治:
1) 常见质量通病:模板工程常见的质量通病有大跨度,大截面梁上口炸模、歪斜、梁底不平,下挠;柱模炸模、偏斜;柱根跑浆;楼梯底部不平,侧帮漏浆;同轴线同截面柱边线不在同一条直线上、梁柱节点缩颈不规矩等。
2)防治措施:大跨度梁板支模时应按要求拉线,起拱3‰,支模时应严格控制。梁支模时,底模及上口侧模均应拉线找直, 大截面梁应加Φ12对拉螺栓。柱模中间应每隔60cm 加一道对拉螺栓,柱箍间距不大于40cm。柱模板底部应抹5cm 宽,2cm厚水泥砂浆台。防止跑浆。楼梯底模采用竹胶合板,小龙骨间距不大于30cm,侧帮应用木板钉牢,支撑架间距不大于1.2m。同一轴线上同截面的柱支模时应拉通线找直。解决梁柱节点缩颈不规矩质量通病,可采用制作整体梁柱节点异型木模板的方法,如下图:8-3(略)
三、混凝土工程
本工程结构施工全部采用商品混凝土,采用固定泵进行混凝土的输送和浇筑。施工中将从混凝土的运输、浇筑、振捣、养护到施工缝处理各个程序入手,严格按照工艺要求操作,确保混凝土施工质量。
(1)混凝土采用商品混凝土,预拌混凝土强度试验实行双控制,供方和需方分别按GB107-87 标准取样试验。
(2)梁、底板混凝土浇筑采用从一端开始,边铺混凝土边振捣、边抹平。浇混凝土采用“赶浆法”连续向前进行,标高、厚度采用水准仪定点测平,用小白线严格控制板面标高和表面平整。板混凝土振捣见图:8-4所示(略)
(3)施工缝留置与处理。柱子留置在楼板底面,主梁下面5cm 梁、楼板留置在次梁跨度中间1/3 范围内;施工缝均留直槎,在再次浇筑混凝土前应将表面松散混凝土剔除,充分湿润和冲洗干净,在施工缝处铺一层水泥浆或与混凝土内成分相同的水泥砂浆,并细致振捣密实。
(4)混凝土应一分层浇筑分层振捣,每层厚度不大于50cm,振捣棒移动间距不大于50cm,必须插入下层混凝土5cm 以消除两层混凝土的接缝,混凝土振捣时间以混凝土不再显著下沉,无气泡且泛水泥浆时为度,浇筑8-4 板混凝土振捣布点示意图梁板混凝土时,使用平板式振动器和插入式振捣棒相结合,不得漏振,保证混凝土密实;梁、板、柱节点处钢筋稠密部位采用振动棒重点振捣,并配合Ф30 小振捣棒振捣。
(5)柱浇筑前,在底板浇筑5cm厚与混凝土成分相同水泥砂浆,混凝土下料应分层浇筑,第一层浇筑厚度控制在50cm,下料点均匀分布,连续进行,振捣密实。
(6)柱及梁混凝土养护采用水溶型混凝土养护剂,板设专人浇水养护,养护时间为7d,每天浇水的次数以保持混凝土表面湿润为宜。
(7)混凝土要按规范要求留试块,浇筑混凝土前应书面通知监理及相关单位,做好见证试验。
(8)混凝土成品保护:已浇筑完的楼板,必须在混凝土强度达到1.2MPa 以后,方准上人操作,混凝土浇筑时保护好埋件、埋管(盒)等,控制拆模时间,确保棱角完整,表面平整。
第六节 钢结构工程
本工程新建部分局部的柱、梁、屋面、壁柱、挑板、隔栅等采用钢结构,此部分施工图钢结构构件根据结构专业确定的尺寸绘制,待钢结构厂家确定后,须会同厂家、设计单位对图纸重新确定,并根据结构要求增加预埋件,经认可后方可施工。
一、材料选用
1.钢材:
钢结构用钢材按设计要求全部选用Q235—A Z,其质量标准符合现行规范《碳素结构钢》(GB700—88)的规定,所用钢材的抗拉强度、伸长率、屈服强度和冷弯强度等性能指标必须符合规范要求,其碳、硫、磷的含量指标必须保证。
2.焊接材料:
手工焊接采用E4315 、E4316型号焊条, 焊条的性能必须符合GB5117—85 的规定,且必须有出厂合格证明,施焊前经烘焙处理,严禁使用药皮脱落、焊芯生锈的焊条;自动或半自动焊接时采用H08A 焊丝,焊丝的性能应符合GB1300—77 的规定。
3.螺栓及配件:
螺栓、螺母、垫圈均应附有质量证明书,普通螺栓须选用Q235—A F钢制作,应符合现行标准(GB700—88)的规定标准;高强螺栓螺杆采用16Mn 钢,螺母采用15MnVB,垫圈采用45 号钢,性能等级为10.9 级,且应符合现行标准(GB1228—91)或(GB3632—83)的规定要求;高强螺栓入库按规格分类存放,防雨防潮,遇有螺栓螺母不配套、螺纹损伤时不得使用;螺栓、螺母、垫圈有锈蚀应抽样检查紧固轴力,满足要求后方可使用,螺栓不得被泥土、油污污染,保持洁净干燥。
二、钢结构制作
钢结构构件加工制作前应根据设计图纸重新进行二次设计,并经原设计单位认可,编制加工工艺规程,制作、安装、检查所用钢尺等检测工具精度应一致,并经计量部门鉴定合格。
1.加工准备及备料
(1)放样:按照施工图放实样,放样时要予留焊接收缩量,经检验人员复验后办理预检核定手续。
(2)根据实样作样板、样杆。
(3)钢材矫正:钢材下料前必须先进行矫正,矫正后的偏差不应超过规范规定的允许偏差值,以保证下料的质量;下料时零件都应号孔。热加工的型钢先热加工,待冷却后再号孔。
(4)零件加工:
1) 切割:氧气切割前钢材切割区域内的铁锈、油污清理干净。切割后断口处边缘熔瘤、飞溅物应清除。机械剪切面不得有裂纹及大于1mm的缺楞并应清除毛刺。
2) 焊接:除应按“手工电弧焊焊接”的要求操作外,型钢需接长时,先焊接头并矫直。采用型钢接头时,为使接头型钢与杆件型钢紧贴,应按设计要求铲去楞角。对接焊缝应在焊接的两端点焊上引弧板,其材质和坡口型式与焊件相同。焊后气割切除并磨平。
2) 钻孔:端部基座板的螺栓孔应用钢模钻孔。以保证螺栓孔位置尺寸准确。连接板上的螺栓孔可采用一般划线法钻孔。
2.焊接
焊接前应复查组装质量和焊缝区的处理情况,修整后方能施焊。
(1)焊接顺序:.支撑连接板、檩条角钢的装配和焊接。用样杆划出支撑连接板的位置,将支撑连接板对准位置装配并定位点焊,用样杆同样划出檩条角钢位置,并将装配处的焊缝铲平,将檩条角钢放在装配位置上并定位点焊;全部装配完毕,即开始焊接檩条角钢,支撑连接板;焊完应清熔渣及飞溅物,并在焊缝附近打上焊工钢印代号。
(2)成品检验:焊接全部完成,焊缝冷却24h 之后,全部作外观检查并做出记录,一级焊缝应作超声波探份。
(3)用高强螺栓连接时,须将构件摩擦面进行喷砂处理,并做六组试件,其中三组出厂时发至安装地点,供复验摩擦系数使用。
(4)按照施工图要求和施工规范规定,对成品外形和几何尺寸进行检查验收,逐榀桁架做好记录。
3.除锈、油漆(涂料)、编号
(1)成品经质量检验合格后进行除锈,除锈合格后方可进行油漆。
(2)涂料及漆膜厚度符合设计要求或施工规范规定。
(3)安装焊缝50mm 以内及磨擦面不得误涂油漆。
(4)在构件指定位置上标注构件编号。
三、钢结构的连接
本工程钢结构的连接方式采用手工电弧焊焊接和高强螺栓连接。
1.手工电弧焊焊接
(1)平焊
选择合适的焊接工艺,焊接电流,焊条直径,焊接速度,焊接电弧长度等,通过焊接试验验证。
1) 焊接电流:根据焊件的厚度,焊接层次,焊条牌号、直径,焊工熟练程度等因素选择合适的焊接电流。
2) 焊接速度:要求等速焊接,保证焊缝厚度、宽度均匀一致,从面罩内看溶池中铁水与熔渣保持等距离为宜。
3) 焊接电弧长度:根据所用焊条的牌号不同而确定,一般要求电弧长度稳定不变,酸性焊条以4mm 长为宜,碱性焊条以2~3mm 为宜。
4) 焊条角度:根据两焊件的厚度确定焊条的角度。
5) 起焊:在焊缝起焊点前方15~20mm 处的焊道内引燃电弧,将电弧拉长4~5mm,对母材进行预热后带回到起焊点,把熔池填满到要求的厚度后方可开始向前施焊。焊接过程中由于换焊条等因素而停弧再行施焊,其接头方法与起焊方法同,要先把熔池上的熔渣清除干净方可引弧。
6) 收弧:每条焊缝焊到末尾应将弧坑填满后,往焊接方向的反方向带弧,使弧坑甩在焊道里边,以防弧坑咬肉。
7) 清渣:整条焊缝焊完后清除熔渣,经焊工自检确无问题方可转移地点继续焊接。
(2)立焊:基本操作工艺过程与平焊相同,但应注意下述问题:
1) 在相同条件下,焊接电流比平焊电流小10%~15%。
2) 采用短弧焊接,弧长一般为2~4mm。
3) 收弧:当焊到末尾,采用挑弧法将弧坑填满。把电弧移至熔池中央停弧。严禁弧坑甩在一边,为了防止咬肉,应压低电弧变换焊条角度,即焊条与焊件垂直或电弧稍向下吹。
(3)横焊:基本与平焊相同,焊接电流比同条件的平焊的电流小10%~15%,电弧长度2~4mm。焊条角度应向下倾斜,其角度为70%~80%,防止铁水下坠。根据两焊件的厚度不同可适当调整焊条角度。焊条与焊接前进方向为70%~90%。
(4)仰焊:基本与平焊、横焊相同,其焊条与焊件的夹角和焊件的厚度有关。焊条与焊接方向成70~80°角。宜用小电流短弧焊接。
2.高强螺栓的连接
(1) 螺栓长度的选择:高强螺栓的长度为螺栓头根部至螺栓切口头处的长度。选用螺栓的长度应为紧固连接板厚度和加上一个螺母和一个垫圈的厚度,并且紧固后要露出三扣螺纹的余长,一般按连接板厚度加表8-2(略)中增加长度,并取5mm 的整倍数。
(2) 接头的组装
连接处的钢板或型钢应平直,板边、孔边无毛剌,以保证摩擦面紧贴。接头处有翘曲,变形必须进行校正,并防止损伤摩擦面。装配前检查磨擦面是否达到设计要求,浮锈用钢丝刷除去,油污、油漆必须清除干净。接触面间的间隙按表8-3(略)规定处理:
(3)安装临时螺栓:用临时螺栓拼装,临时螺栓个数为接头螺栓总数的1/3 以上。组装时先用钢穿杆对准孔位,在适当位置插入临时螺栓,用扳手拧紧。不允许使用高强度螺栓兼做临时螺栓,以防螺纹损伤。一个安装段完成后,经检查确认符合要求方可安装高强度螺栓。
(4) 安装高强螺栓:结构中心位置调整完之后,安装高强螺栓。垫圈安在螺母一侧垫圈不得装反,垫圈孔有倒角一侧(小直径面)应和螺母接触。螺栓不能自由穿入时,要用绞刀修孔,修孔时需使板面密贴,以防铁屑进入板缝,较孔后要用砂轮机清除孔边毛剌,并清除铁屑。螺栓穿入方向宜一致。注意整齐美观,穿入高强螺栓,用板手紧固后,再卸下临时螺栓,以高强螺检替换。不得在雨天安装高强螺栓,且摩擦面应处于干净状态。
(5) 螺栓的紧固:必须分两次进行,第一次为初拧,初拧紧固到螺栓标准预拉力的60%~80%,第二次紧固为终拧,终拧紧固到标准预拉力,偏差不大于±10%。紧固顺序:为使螺栓群中所有螺栓都均匀受力,初拧、终拧都应按一定顺序进行。初拧板应是可以控制扭矩的,初拧完毕的螺栓应做好标记,以供确认,防止漏拧。当天安装的高强螺栓,当天应终拧完毕。终拧应采用扭剪型高强螺栓应采用专用的电动扳手,如作业有困难的地方,也可用手动扳手进行,终拧扭矩须按设计要求进行。用电动扳手紧固时,螺栓尾部卡头拧断后即终拧完毕,外露丝扣不得少于2 扣。断下的长头应放入工具袋收集一起,以防止从高空掉下酿成安全事故。
3.质量标准
(1) 钢材的品种、规格、型号和质量必须符合设计要求及施工规范的规定。
(2) 钢材切割面必须无裂纹、夹层和大于1mm 的缺楞。
(3) 构件外观表面无明显凹面和损伤,划痕不大于0.5mm。
(4) 构件由于堆放、运输和吊装造成的变形必须矫正。
(5) 支座位置、做法正确,接触面平稳、牢固。
(6) 钢结构承受拉力或压力焊接接点。要求与母材等强度的焊缝必须经探伤检验,检查探伤报告。
(7) 钢材焊接的焊缝表面焊波应均匀,不得有裂纹、夹渣、焊瘤、烧穿、弧坑和针状气孔等缺陷,焊接区还不得有飞溅物。
(8) 高强螺栓接头外观应检查螺栓穿入方向应一致,丝扣外露长度不少于2 扣。
(9) 高强螺栓连接面的摩擦系数必须符合设计要求。表面严禁有氧化薄层、毛剌、焊疤、油漆和油污等。应检查试验报告。
(10) 施工组合钢梁、板,浇筑梁、板混凝土时,在压型钢板下每隔1200mm 加设一道钢管临时支撑。
第七节 外脚手架工程
一、准备工作
1.建筑物周围障碍的检查
对不能移走的障碍物或重要的线缆加以保护并采取相关的施工方案,确保脚手架的搭设符合施工及安全要求又能满足招标单位的特殊要求。
2.材料准备
本工程搭设脚手架的主要材料有脚手板、立杆、大横杆、小横杆、安全立网、安全平网、十字卡、一字卡、拉杆、钢丝以及西翼与墙固定用的钢板及钢筋、胀栓等。
3.技术准备
主要包括外架的布置、提升架的布置、双笼施工电梯的设置等。
二、脚手架搭设技术要求
1.总体方案说明
所有的外脚手架采用双排Φ48 壁厚3.5mm 的钢管搭设,采用双立管搭设;整个室外脚手架的大横杆步距为1.8m,立杆的纵距为1.8m,剪刀撑的设置每隔12m 左右满布,角度为45°。小横杆的距离为1.2m;脚手架横向水平拉杆通过窗户与墙拉结传力,根据实际情况,在墙上设置胀栓,与脚手架进行连接。对于其他部分的水平拉杆,通过伸进原有的窗户与原有的墙
体拉结,以保护水平方向的力的传递,水平拉杆或胀栓的设置,在竖向每隔3.6m、水平方向不大于6m 设置一道水平拉杆或胀栓。
2.安全网的要求
所有的外立面挂安全立网,在顶层的安全网要高出原有的女儿墙面不少于1.2m,每一片的安全立网要求与脚手架牢固连接,由于西翼部分已经装修完毕,为防止落物对铝窗的破坏,所以该部分的安全平网每二层搭设一层,在腰线下部必须设置一道安全平网,以防止修整腰线时防止重物对窗户的再破坏。除西翼以外的部分,每隔四层设置一道安全平网。
3.垫板的有关要求
外脚手架的垫板一定要与地面贴平,严禁与地面有空缺或不牢现象,对于主楼部分的立杆下一定加上底座。外脚手架如支撑在土质基础上,要保证在下雨时的积水不能浸泡基础,如果不能保证,则必须在脚手架的外立杆外1m 处挖一条排水沟,以利排水,所有的垫板采用厚度大于50mm的松木板,且小头宽度不得小于20cm。
三、脚手架搭设的施工要求
1.所有的搭设材料进场后都进行材料检验,包括立杆、横杆的平直、是否合乎要求;安全立网及平网是否经过检验;十字卡是否转动灵活及是否符合要求。脚手板进场后材质及厚度是否符合要求等,都要进行相关的检查。
2.搭设顺序
摆放扫地杆→逐根树立立杆,随即与扫地杆扣紧→装扫地小横杆与立杆或扫地杆扣紧→安第一步大横杆→安第一步小横杆→第二步大横杆→第二步小横杆→加设临时斜撑杆→第三、四步大横杆和小横杆→连墙杆→接立杆→加设剪刀撑→铺脚手板
3.搭设时具体要求
在搭设过程中,一定要在保证安全的前提下,确保外架的美观,在搭设过程中,特别是搭设开始时,所有的立杆、剪刀撑。及大横杆都必须进行拉线施工,保证外架的间距一致,所有的小横杆伸出的端头要求一致,在向上搭设过程中,要保持立杆的垂直度,立杆到顶的垂直偏差不得大于10cm。横杆的水平偏差不得大于5cm。剪刀撑的水平间距偏差不得大于5cm。
4.脚手板的铺设要求
本工程按照两层满铺设置脚手板,在铺设脚手板时一定要注意脚手板与小横杆用钢丝绑扎连接,对板与板之间的搭接如出现探头时,探头伸出部分不能大于20cm,如果超过此范围,要进行附加小横杆,并与小横杆绑扎牢固。
四、施工安全要求
(1)架子工在搭设脚手架过程中,一定要系好安全带,戴好安全帽。
(2)按照规定的构造方案和尺寸进行搭设。
(3)注意杆件的搭设顺序,及时与结构拉结或采用临时支架,以确保搭设过程的安全。
(4)施工过程中一定要拧紧扣件,并且要注意拧紧程度适当。
(5)有变形有杆件和不合格的扣件都不能使用。
(6)施工过程中要随时校正杆件的垂直度和水平偏差,以避免偏差过大。对没有完成的脚手架,在每日收工时,一定确保架子的稳定,防止发生意外。
(7)水平向每隔6m、竖向每层(距离不超过4.5m)架子与结构拉接。
(8)所有杆件接长均采用对接扣件。
(9)所有立杆及大横杆应错开接头,不小于500mm,不得使接头位于同一断面内。
(10)脚手架为加固及装修共用架,内立杆距墙30cm。
(11)小横杆采用两端自带扣件的脚手架专用杆,长1.4m。
(12)脚手板两端必须在小横杆上,搭接长度不小于200mm,操作层两侧应铺20cm 挡脚板。
(13)脚手架底部垫通长方木,离地20cm 加设扫地杆。
第八节 测量放线
一、测量仪器的准备
J2JD 经纬仪2 台、SD3 水准仪2 台、5m 钢卷尺5 把、5m 塔尺5 把;以上设备应预先进行检验,以确保测量用具的精度;激光扫平仪两台。
二、建筑物定位轴线测设
根据建筑平面图上建筑物位置关系以及招标单位提供的坐标点,以先整体后局部的方针,采用坐标法定出建筑物的主点、主轴线,经校核无误后,定出现场的平面控制网。根据主轴线的平面控制网,在地质坚固、便于通视、能长期保存的地方设置轴线控制桩点、红三角标志。
1.竖向控制
本工程轴线竖向传递使用“外控制法”,即用经纬仪根据控制桩点和红三角标志,把轴线投射到每层结构面上;各层墙、柱等现浇构件的垂直度,通过使用铅锤控制模板的垂直度来实现;层间竖向测量偏差不超过±3mm,建筑全高竖向测量偏差不超过3H/10000,且不大于±10mm;层间竖向施工允许偏差不超过±8mm,全高竖向施工偏差不超过H/1000,且不大于±30mm。
2.标高控制
以招标单位提供的水准点为依据,与设计图中所定的±0.000 的绝对高程相比较,换算出相对标高;±0.000 以下的基础标高用水准仪和塔尺直接引测控制,为±0.000 以上的标高传递打好基础;楼层标高主要用钢尺沿结构外墙、边柱或楼梯间等向上传递,再用水准仪提供所需的标高线;一般至少由3 处向上引测,以便于相互较核和适应分段施工的需要;层间标高测量偏差不超过±3mm,建筑全高标高测量偏差不超过3H/10000,且不大于±10mm;层间标高施工偏差不超过±10mm,全高竖向施工偏差不超过±30mm。
第九节 墙体工程
一、外围护墙体
(1)本工程部分整改外围护墙外墙厚300mm,砌筑砂浆为M5 水泥混合砂浆。
(2)砌体施工前,依据砌筑图放出第一皮砌体的轴线、砌体边线和洞口线。
(3)砌块排列上下皮应错缝搭砌,搭砌长度一般为砌块的1/2,不得小于砌块高的1/3,也不应小于150mm,搭错缝不能满足要求时,应采取压钢筋网片的措施。
(4)砌体垂直缝与门窗洞口边线应避开同缝,且不得采用砖镶砌。
(5)砌体水平灰缝厚度为15mm,垂直灰缝宽度为20 mm。大于30mm 的垂直缝要用C20 细石混凝土灌实。
(6)砌块应提前一天浇水湿润,冲去浮尘,清除砌块表面的杂物。
(7)每层开始时,应从转角处或定位砌块处开始,应吊砌一皮,矫正一皮,皮皮拉线控制砌体标高和墙面平整度。
(8)注意施工时,门窗洞口处要设混凝土抱框。
二、内隔墙施工方案
工艺流程:测量放线→配夹心板及配套件→安装夹心板→安装门窗框→检查校正补强。施工要点:
1.放线
按设计要求,墙的轴线位置在地面、顶面、侧面弹出墙的中心线和墙的边线。划出门窗洞口的位置.当设计有要求时按设计要求确定埋件位置,当设计无明确要求时,按400mm 间距,划出连接件或锚筋的位置。
2.钢丝网架夹心板及配套件配置
(1)隔墙宽度小于 4m 时,宜整板上墙.装板时应错缝拼接.隔墙高度或长度超过4m 时,应按设计要求增设加劲柱。
(2)有转角的隔墙,在墙的拐角处和门窗洞口处应用整板,要裁剪的配板,应放在与结构墙、柱的结合处,所裁剪的板的边沿宜为一根整钢丝,以便拼缝处用22 号钢丝绑扎固定。
(3)各种匹配用的连接件、加固件、埋件要配齐,凡未镀锌的铁件要刷防锈漆两道作防锈处理。
3.安装钢丝架夹心板
(1)连接件的设置
① 墙、梁、柱上已预埋锚筋(一般为10mm/6mm,长为30d,间距为400mm)应直,并刷防锈漆两道。
② 地面、顶板、混凝土梁、柱、墙面没设置锚固筋的,可按400mm的间距埋膨胀螺栓或用射钉固定U 型连接件,也可用打孔插筋作连接件。其方法是紧贴钢丝网架两边打孔,孔距300mm,孔径6mm,孔深50mm,两排孔应错开,孔内插直径6mm 钢筋,下埋50mm,上露100mm,地面上的插筋可不用环氧树脂锚固,其余的应先清孔再用环氧树脂锚固插筋。
(2)安装夹心板
按放线的位置安装钢丝网架夹心板.板与板的拼缝处用箍码或22#钢丝扎牢。
(3)夹心板与四周连接
① 墙、梁、柱上已预埋锚筋的,用22 号钢丝将锚筋与钢丝网架扎牢,扎扣不少于3 点。
② 用膨胀螺栓或用射钉固定U 型连接件作连接的,用22 号钢丝将U型连接件与钢丝网架扎牢。
(4)夹心板的加固补强
① 隔墙的板与板纵横向拼缝处用之字条加固,用箍码或22 号钢丝与钢丝网架连接。
② 转角墙、丁字墙明、阳角处用角网加固,用箍码或22 号钢丝与钢丝网架连接,阳角角网总宽400mm,阴角角网总宽300mm。
③ 夹心板与混凝土墙、柱、砖墙连接处,阴角用角网加固,阴角角网总宽300mm,一边用箍码或22 号钢丝与钢丝网架连接,另一边用钢钉与混凝土墙、柱固定或用骑马针与砖墙固定,夹心板与混凝土墙、柱连接处的平缝,用300mm 宽平网加固,一边用箍码或22 号钢丝与钢丝网架连接,另一边用钢钉与混凝土墙、柱固定。
(5)用箍码或 22 号钢丝连接的,箍码或扎点的间距为200mm,呈梅花形布点。
4. 门窗洞口加固补强及门窗框安装
(1)门窗洞加固补强:门窗洞口各边用通长槽网和2 φ10 钢筋加固补强,槽网总宽300mm,钢筋长度为洞边加400mm。门洞口下部,2 φ10钢筋与地板上的锚筋或膨胀螺栓焊接,窗洞四角、门洞的上方两角用500mm 长之字条按45 度方向双面加固,网与网用箍码或22 号钢丝连接,φ10 钢筋用22 号钢丝绑扎。
(2)门窗框安装:根据门窗框的安装要求,在门窗洞口处安放预埋件,连接门窗框。
5.安埋件、铺电线管、稳接线盒
(1)按图纸要求埋各种预埋件、铺电线管、稳接线盒等,并要求与夹心板的安装同步进行,固定牢固。
(2)预埋件、接线盒等的埋设方法是按所需大小的尺寸抠去聚苯或岩棉,在抠洞处喷一层胶液,用l:3 水泥砂浆固定埋件或稳住接线盒。
(3)电线管等管道应用22 号钢丝与钢丝网架绑扎牢固。
6.检查校正补强
在抹灰以前,要详细检查夹心板、门窗框、各种预埋件、管道、接线盒的安装和固定是否符合设计要求,安装好的钢丝网架夹心板要形成一个稳固的整体并做到基本平整、垂直。达不到要求的要校正补强.
第十节 防水工程
一、地下室防水
原有建筑地下室是否有防水情况不明。原则上不破坏原有防水,结构加固处根据现场情况做防水处理;若原有建筑没有地下室防水,则在地下室外墙内侧及地面垫层下补做防水,新加地下室外楼梯部分均做双层SBS 改性沥青柔性外防水层。
1.材料
根据设计图纸要求选择材料,材料按批送交权威试验部门进行复试,合格后方可使用。
2.技术要求
根据不同部位防水设计要求,严格按照工艺标准进行施工,确保防水层的厚度与施工质量,对于地下室底板、外墙等不便于做闭水试验部位的防水,则更应按有关图集、规程、规范进行施工。
3.施工保证
防水工程是一项很重要的工程,必须作为关键工序严格控制;项目将由质检员,工程人员,材料人员,技术人员共同组成联合检查小组,从材料进货检验,施工配合比,施工工序到闭水试验,进行严格控制,每一工序自检合格后,申报监理工程师进行隐蔽验收,合格后才能进行下道工序。
4.SBS 防水卷材防水施工
(1)操作工艺:基层清理→弹线找规矩→刷涂基层处理剂→细部附加层→卷材铺贴→卷材收头、粘结→卷材热熔封边→蓄水试验→卷材保护层→验收。
(2)质量标准
① 保证项目#卷材和胶结材料的品种、牌号及配合比,必须符合设计要求和有关规范、标准的规定。卷材防水层的细部做法必须符合设计要求和施工规范的规定。卷材防水层严禁有渗漏现象。
② 基本项目#铺贴卷材防水层的表面应符合排水要求,防水层无积水现象。卷材防水层铺贴和搭接、收头等细部做法,应符合设计要求和施工规范的规定,并应粘接牢固,无空鼓、损伤、滑移、翘边、气泡、皱折等缺陷。卷材防水层的保护层,涂料应附着牢固,覆盖均匀严密,颜色一致,不得有漏底和脱皮缺陷。防水层施工完后,经隐检验收合格,应及时做好保护层。防水层宜在基底平整、干净、干燥的情况下(含水率小于10%)时进行施工。
二、楼地面防水
材料为聚氨酯涂膜防水层,按施工图纸和规范施工。穿过房间的立管,楼板上需预埋防水套管,并高出房间地面50mm,套管与立管之间填塞麻灰。
三、屋面防水
本工程屋面防水选用聚氨酯硬泡体,35mm 厚,根据材料的施工工艺进行施工。
四、外墙板缝防水
在原有预制外挂板板缝之间以及新砌外墙与原有预制外挂板交接处清理后重新采取防水措施,具体施工方法待设计单位确定材料后再定。
第十一节 外墙装饰工程
一、外墙面砖
1.工艺流程
铝合金窗的安装→排砖→吊垂直贴灰饼→基层“毛化处理” →打底灰→养护→弹线冲筋→粘贴面砖→检查验收→勾缝→擦洗.
2.施工方法
(1)粘贴面砖前应根据设计图纸及施工规范要求,写出排砖方案。
(2)粘贴前应有专人对面砖进行挑选,对外形歪斜、缺棱、掉角、翘棱、裂缝、颜色不均匀的应剔除,不同规格的砖要分别堆放。
(3)根据排砖方案,吊垂直、冲筋,混凝土表面须经过“毛化处理”,然后用1:0.2:2(水泥:石灰:砂子)混合砂浆打底灰,表面找平,用抹子搓平,砂浆厚度不大于15mm 。
(4)按设计要求在底灰上弹竖向分格线,分格线间距为瓷砖加灰缝宽,一般竖向灰缝为7~10mm,水平缝为10~12mm。
(5)面砖粘贴前应提前一天浸泡2~3h,取出后阴干待用;可防止粘贴砂浆早期脱水,失去粘结作用。
(6)面砖采用内掺2%~3%水泥用量108 胶的1:2 水泥砂浆粘贴,粘贴时,先在墙阳角处贴两竖行,以控制墙面平整度,然后拉尼龙线粘贴中间部分墙面砖,墙长超过5m 的,应在中间增贴一行控制墙面平整度。粘贴时砂浆应饱满,要减少推敲和拨动,减少对粘结砂浆的扰动,增强砂浆的粘结力。
(7)对阴阳角处,面砖按大面压小面处理。
(8)对非整砖的面砖,应用云石机集中裁切,保证裁口整齐、顺直。
(9)面砖粘贴完,经检查无空鼓后,才允许勾缝。若有空鼓的,应返工重贴;勾缝采用1:1 水泥砂浆,砂子应过窗纱;勾缝应压实压光,交叉出八字性,凹进砖面2~3mm,勾完缝后表面应擦洗干净。
二、玻璃幕墙
隐框玻璃幕墙技术难度大,施工前应由设计者对工程项目、图纸资料、施工方案、技术工艺进行详细的说明和解释,以确保幕墙达到设计要求和各项基本性能指标。写出施工方案,施工准备计划、总体施工安排、施工技术措施及安全措施。工程所用钢材、铝材、玻璃均应有质量保证书并符合设计文件及施工图的要求;产品要有出厂日期并按日期分批保管,严禁过期使用。对玻璃幕墙进行空气渗透性能、雨水渗透性能、抗风压性能、保温性能、隔声性能、结构胶附着力实验和相容性实验。对固定所用的专用膨胀螺栓要进行拉拔及抗剪实验。以上实验必须具有实验合格证。
1.隐框玻璃幕墙的施工准备
(1)需要有足够的、清洁的场地堆放已粘贴好玻璃的单个框架,要防止结构玻璃装配组件在堆放过程中划伤、变形和破坏。
(2)外墙脚手架距离幕墙300~400mm,已保证安装的需要,并检查脚手架是否牢固。
(3)安装过程中,要使用经纬仪等仪器来调校安装基准线和尺寸,并检查水平垂直度。
(4)施工管理人员和作业人员需经严格培训,持有上岗证并熟悉本工程玻璃幕墙的骨架构造体系,施工前需编制幕墙安装施工作业书。
2.施工材料验收
(1)对结构玻璃装配组件检查验收,检查装配组件的长度尺寸,对角线尺寸是否超差,粘结是否完好,玻璃表面是否清洁,玻璃表面是否有划伤现象。
(2)对立梃、横梁等铝型材要测定其平直度、扭曲度、厚度,如有明显的扭曲则不能使用。
(3)对上墙的五金配件进行验收,检查是否符合设计要求,如固定用不锈钢螺栓,绝缘胶垫等。还要进行耐候胶型号及保险期的检查。
3.安装
(1)放线及固定支座安装:幕墙施工前放线检查主体结构的垂直度、平整度,以确定骨架的准确位置,所弹中心线、标高线应与土建位置相吻合。同时检查膨胀螺栓(预埋件)的位置标高及其与混凝土的锚固情况是否符合规范和设计要求。
(2)立梃和横梁安装:
① 立梃骨架安装从下向上进行,立梃骨架与主体结构预埋件的连接靠钢角码连接件,钢角码连接件与预埋件焊接(或用膨胀螺栓固定),立梃骨架接长,用插芯连接件穿入立梃骨架中连接。每道幕墙的立梃全部安装完毕后,用经纬仪或挂通长18 号钢丝进行检查和调整,然后再进行永久性满焊固定。
② 横梁骨架安装采用角铝连接件,角铝的一肢固定在横梁骨架上,另一肢固定于立梃骨架上。
③ 立梃和横梁锯切尺寸允许偏差为:立梃±1.0mm,横梁±0.5mm。
④ 施工中应保证立梃横梁安装水平,在主梁全部或基本悬挂完毕后进行调整,以保证隐框玻璃幕墙外表面平整。
(3)玻璃装配组件的安装:
1) 玻璃装配组件的安装顺序从上向下进行,其安装过程是将玻璃板材边框与主梃、横梁的托件、扣件相互吻合上,再拧上螺丝固定。
2) 在固定前要逐块调整玻璃装配组件直至相互平齐、间隙一致,板面表面的平整采用刚性直尺或铝方通料来进行确定。对不平整的部位,应调整固定块的位置或用垫块插入两板间的缝隙,以确保间隙一致。插入的垫块在装配组件固定后取出,以保证板间有足够的位移空间。
3) 当玻璃幕墙整幅高度或宽度尺寸较大时,应避免误差累积,适时进行调整。
4) 幕墙封顶处采用封板铝板结构,铝板下填充保温岩棉。
(4)装配组件的密封:
1) 检查泡沫杆尺寸是否符合要求。对密封部位进行表面清洁处理,先清除组件间表面灰尘,用挥发性强的溶剂二甲苯擦除被密封表面的油污和脏物,再用干净棉丝清擦一遍,以保证组件间表面干净无油污存在。
2) 密封耐候胶应与玻璃、铝材粘牢固,胶面平整光滑,玻璃清洁无污物。在放置定位泡沫杆时,过深或过浅都会影响密封效果。注入耐胶的厚度应为两板间胶缝的一半,这也是放置泡沫杆的合适位置。为压平及刮去多余的密封胶,应根据胶缝的大小及深浅设计相应的刮胶工具,并由精细熟练的刮胶工操作。为确保玻璃表面不被胶污染,应预先沿注胶玻璃边缘贴上纸基保护胶带,刮胶结束后再将胶带撕去。
3) 在阴雨天或室外温度低于5℃的气候下,严禁室外进行耐候胶、密封胶的注入工作,以保证幕墙的封闭性能。
4.施工中应注意的问题
(1)在玻璃施工过程中要注意玻璃幕墙的防雷电的避雷措施,一定要按照避雷设置要求进行接地处理,所选用接地导线要有可靠的连接方式、足够直径及抗腐蚀能力。
(2)应根据规范要求在横梁及立梃间连接处设置耐久性好有弹性胶垫,否则在风压大时造成晃动,并直接影响幕墙的寿命。
(3)对固定焊接部位的铁件要进行仔细的防腐处理,防止焊接部位生锈。
(4)根据消防要求,在每一楼层处幕墙与结构之间的空隙要采取密封处理。
5.隐框玻璃幕墙常见质量问题及预防措施
(1)隐框玻璃幕墙起伏不平,水平缝与垂直缝扭曲不直,镜面效果被破坏,楼房车辆及行人反映在幕墙上严重错位,扭曲变形,其主要原因是:结构玻璃装配组件在工厂加工制作过程中尺寸误差过大,造成安装上墙时无法在可调范围内校正;承力框架主梃和横梁安装垂直度、水平度未达到设计要求;安装结构玻璃装配组件时未严格要求在允许范围内调整。
(2)耐候结构胶变色变脆,其原因是:采用质量低劣的密封胶,这些非耐候密封胶在紫外线在照射下容易发生老化和变质;密封胶与被密封物之间产生裂缝,引起水漏、气漏,这是由于在注入耐候胶前,未彻底清除被密封物表面的污物,过薄有胶层也会产生裂纹。
(3)隐框玻璃幕墙内墙部位拼接缝间隙较大、错位和搭接不平。主要原因是:厂内加工件精度不够或现场安装误差较大而无法调整,所以必须等现场位置确定后再下料加工,或留下一定的余量到现场调整。
(4)幕墙向内漏水。开启部位漏水一般为密封不良、五金配件损坏或胶条弹性差起不到密封作用而造成的,劣质五金配件常常给隐框幕墙带来很大的危害;高层建筑的开启窗常常因铰链、执手和锁断裂等引起开启窗从高空坠落或漏水,隐框幕墙制作厂家要选择质量可靠的五金厂家;周边及屋檐封口不严产生的漏水现象比较复杂,应采用密封胶或其他措施密封;对铝板作为封闭的接口部位要设计一定余量的搭接接口,接口用密封胶密封,还要注意与土建施工的配合。
6.玻璃幕墙的施工管理
在施工过程中要做好成品、半成品的保护,尤其是玻璃装配组件在运输、临时堆放、安装及上墙后的保护工作要设专人监督,以防止划伤、变形和破损。施工中跟班检查,现场质检人员根据施工操作要点的质量验收标准,对每一道工序进行跟踪检查,特别部位细查,有缺陷及进纠正。
第十二节 门窗工程
一、铝合金窗
(1)下层垂直,安装牢固,开关灵活,缝隙均匀。
(2)安装窗框时不得打开塑料包装,必须待窗口腻子完成后再打开,以保证水泥浆不接触铝合金,免遭腐蚀。
(3)用岩棉塞口,确保外框与洞口弹性连接。
(4)内外侧缝隙均满打密封胶,以此实现铝合金窗的水密性和气密性,以及隔声和保温性能。
二、木门安装
(1)门框安装时应考虑抹灰层厚度,并根据门框尺寸、标高、安装位置、开启方向在墙上划出记号。门框按照记号用不小于10cm 长钉子钉在予埋的木砖上。钉帽要砸扁打入不得外露。每块木砖应钉二个钉子。
(2)木门扇安装应先确定门的开启方向及小五金型号和安装位置,对开门的裁口方向一般应以开启方向的右扇为盖口扇,检查门口是否有窜角及各部尺寸是否与图示尺寸相吻合。安装对开扇时,应将门的宽度用尺量好再确定中间口缝的裁口深度。如采用企口锁时,对口缝的裁口深度和裁口方向应满足锁的要求。然后进行四周修刨到准确尺寸。五金安装应按设计图纸要求,不得遗漏,一般门锁、碰珠、拉手等距地高度为 98~100cm,插销应安装在拉手下面,对开门用暗插销时,安装工艺同自由门;安装带玻璃门时,一般玻璃裁口在走廊内。
(3)待墙面、地面等工程完成之后,进行木制品面饰。
三、木制品油漆
(1)对木制品基层进行处理、清扫、磨砂纸打光。
(2)对处理后的基层操清油一遍,同时注意门油漆分色是否正确。
(3)待清油干透后将钉孔、裂缝、节疤以及边残缺处,用石膏油腻子刮抹平整。
(4)腻子干透后,用1 号砂纸打磨,并保护好棱角。
(5)涂刷一道油漆,待铅油干透后,对于底腻子收缩成残处,用石膏腻子刮抹平整。
(6)待腻子干透后,用1 号以下的砂纸打磨,安装玻璃等。
(7)涂刷第二道油漆,干后用砂纸打磨,然后涂刷最后一道油漆。
(8)油漆颜色由招标单位按照中国标准出版社出版的《漆膜颜色标准色卡》 GB3181-82 附件选用。施工前应统一配制,防止油漆出现色差。
第十三节 楼地面工程
本工程六层以上(一至五层由招标人独立分包)楼面主要为地砖地面,具体施工方法如下:
(1)基层处理:将混凝土基层上的杂物清理掉,并用錾子凿掉砂浆落地灰,用钢丝刷刷净浮浆层。如基层有油污时,应用火碱水刷净,并用清水及时将其上的碱液冲净。
(2)找标高、弹线:根据墙上的50cm 水平标高线,往下测出面层标高,并弹在墙上。
(3)找平层砂浆:洒水湿润,在清理好的基层上,用喷壶将地面基层均匀洒水一遍。做灰饼冲筋,灰饼上平就是水泥砂浆找平层的标高,抹灰饼和标筋应使用干硬性砂浆,厚度不宜小于 2cm。
(4)在基层涂刷一道水泥浆然后铺设砂浆,小木杠刮平、拍实,再用木抹子搓平、养护。
(5)已确定的砖数和缝宽,在地面上分中弹纵、横控制线(每隔4 块砖弹一根控制线)后进行铺砖,铺贴前将砖板块放入半截水桶中浸水湿润,晾干后表面无明水时,方可使用。铺贴时结合层水泥砂浆为10~15mm。铺完2 至3 行,应随时拉线检查缝格的平直度,如超出规定应立即修整,将缝拨直,并用橡皮锤拍实。
(6)勾缝擦缝面层铺贴应在24h内进行擦缝、勾缝工作,应采用同品种、同强度等级、同颜色的水泥,铺实修整好的砖面层上用浆壶往缝内浇水泥浆,然后用于水泥撒在缝上,再用棉纱团擦揉,将缝隙擦满。最后将面上的水泥浆擦干净。
(7)养护:铺完砖24h 后,洒水养护,时间不应少于7d。
第十四节 顶棚工程
本工程六层以上(一至五层由招标人独立分包)吊顶主要为矿棉板吊顶,具体施工方法如下:
(1)在结构楼板的底部,埋膨胀螺栓,做吊筋固定点(也可在结构施工中预设钢筋吊钩),其吊点按照房间的大小,先确定边缘的吊点位置,距墙四周150mm 范围做一排吊点,其余根据空隙控制在每1000mm 左右一根吊点,吊筋用Φ6~ Φ8 钢筋制作,长度根据吊顶高度确定。
(2)四周墙面弹出标高线,根据标高线在墙上划出大龙骨位置,安装大龙骨方向顺着门口方向放置。用吊筋调整标高与起拱,起拱控制在短方向的1/200。
(3)放中龙骨。大龙骨放好后,与其垂直方向放中龙骨,其间距控制在500mm,用固定卡与大龙骨连接,中龙骨靠墙四周均要环封。中国建筑工业出版社 筑龙网 合力打造
(4)中龙骨调整准确后,将石膏板垂直于中龙骨,用自攻螺丝固定,其间距控制在200~300mm,板间对缝要留10mm,遇墙、梁柱边要留15mm空隙,用嵌缝腻子刮平,外贴玻璃纤维接缝带。
(5)在面板的下面进行装饰层施工。
第十五节 内墙装饰工程
一、内墙抹灰
(1)将墙面的浮灰、废余砂浆等清除干净,对局部凹进过大处,用混合砂浆加 108 胶拌均,分层补平。
(2)在墙面上打六角钢丝网,防止砂浆开裂空鼓,可用铁钉或钢丝做成U 型打入,间距不大于0.3m。在砌块墙同其他墙面的交接处,钢丝网应钉500mm 左右,防止基层收缩带来的质量问题。
(3)用线锤、靠尺板、方尺拉通线等方法做灰饼,灰饼用1:3 水泥砂浆做5cm×5cm 见方大小,待灰饼硬化后进行冲筋。
(4)将墙面上的门窗洞口及墙、柱子的阳角均抹1:3 水泥砂浆护角同冲筋平。
(5)墙面抹底层灰,先在墙面上刷内掺108 胶素水泥浆一道甩毛,然后用9mm 厚1:0.5:2.5 水泥石灰膏砂浆打底扫毛或划出纹道,待砂浆六、七成干后用1:0.5:2.5水泥石灰膏砂浆找平压光。
(6)拆除清理所搭架子,将预留孔洞、电气箱等周围清理干净,抹灰完全干燥后,进行饰面层施工。
二、内墙涂料(乳胶漆)
(1)基层处理:将混凝土或水泥石灰膏砂浆抹灰面表面上的灰尘、污垢和砂浆流痕等清除干净,同时将基层阴阳角处用1:3 水泥砂浆修补好;表面麻面及缝隙应用腻子填补齐平,腻子的配合比为聚醋酸乙烯乳液(白乳胶):大白粉:2%羟甲基纤维素溶液=1:5:3.5。然后用同样配合比刮腻子两遍,每遍腻子干后磨砂纸,腻子磨平磨完后将浮尘清理干净。
(2)对墙面吊垂直、套方、找规矩、弹分格线。
(3)涂刷时在辊子上蘸少量涂料,在预涂墙面、顶棚上来回滚动,共刷三遍,每遍涂刷方向相互垂直。
(4)修整:检查如发现有漏涂、透底、流坠等弊病,应立即修整和处理。
三、卫生间墙面砖镶贴
按设计要求挑选规格、颜色一致的面砖,使用前在清水中浸泡2~3h 后,阴干备用。
(1)镶贴前找好规矩,用水平尺找平,校核方正,算好纵横皮和镶贴块数,进行预排;
(2)先按粘结层厚度用混合砂浆贴灰饼,灰饼间距1.5m 左右。
(3)对于整面墙要挂线、冲筋、打点,对整墙面平整,用抹灰厚度进行控制。采用9 厚1:3 的水泥砂浆打底压实抹平搓毛。
(4)在抹平的基层上进行弹线,首先弹出窗口定位线。窗口两侧不得出阴阳膀,窗口的上下不得出现1/2 以下的碎砖。
(5)打底灰在贴砖前要进行平整、垂直、空鼓情况检查,合格后方可进行粘贴。面砖上墙时注意以上口齐线和立缝一侧齐线。灰要饱满挤实。面砖粘贴前墙面要刷素水泥浆结合层一道。
(6)贴砖完毕后,应自检有无空鼓、不平、不直等现象,发现问题及时返工修理,然后用清水将面砖冲洗干净,并用棉纱擦净,用长毛刷沾稠状白水泥素浆涂缝,然后用棉纱将缝子的素浆擦均匀,面砖擦干净。
第十六节 水、暖、消防工程
本工程设备专业分室内给排水、消防工程、暖通空调工程。
一、工程内容
1.给排水工程
给水分高低两区,三层以下为低区,由市政给水管网直接供给,四层以上为高区,由变频调速供水设备供给。给水管道采用不锈钢水管,排水管采用硬聚氯乙烯管(UPVC)。设在管井及吊顶内的给水、排水管道做防结露保温,保温材料采用发泡橡塑隔热材料,有压污水管采用焊接钢管,焊接或法兰连接。
2.消防工程
本工程设有消火栓系统、喷淋系统及气体灭火系统。消火栓系统采用无缝钢管,接口采用焊接,阀门及需拆卸部位采用法兰连接;喷淋系统采用热镀锌钢管,丝扣或沟槽式连接;气体灭火系统采用固定式全充满烟烙尽气体灭火系统,气体灭火系统由其他分包商完成。消防水由加压泵和屋顶水箱供给,消火栓选用DN65mm,L=25m 麻质衬胶水带,水枪D65×19mm。喷头选用68℃闭式玻璃球喷头,有吊顶处均采用装饰性喷头,无吊顶处均采用直立型喷头,系统配件公称压力为1.6MPa。
3.暖通空调工程暖通空调工程分采暖系统、智能变频空调(VRV)系统、新风系统、风机盘管系统、防火排烟系统。根据招标文件及答疑文件要求,智能变频(VRV)空调系统由厂家负责安装和调试。采暖供水温度为90℃,回水温度为70℃,风机盘管供水温度为60℃,回水温度为50℃。机房设置风冷式专用空调,厨房、变配电室、地下室设机械排风系统,卫生间设集中排风,机房设新风换气机,餐厅、各层内走廊设机械排烟系统,合用前室设加压送风系统。室内采暖为焊接钢管,丝接,空调冷凝水管采用镀锌钢管,丝接。采暖管道保温采用超细玻璃棉管壳,空调冷凝水管道采用橡塑发泡管壳保温,保温厚度为20mm。散热器1~5 层采用钢制柱式散热器,6 层以上采用原有铸铁四柱813 型散热器。
二、施工安排
1.优先完成项目
本工程属于改造工程,原有室内、外设施有保留部分、需改造部分、拆除部分及新建部分,本着“一保护、二改造、三拆除、四新建”的原则对原有设施制定《原有设施保护方案》、《原有设施改造方案》、《原有设施拆除方案》,以指导对原有设施的保护、改造及拆除工作。制定分级管理制度,对现有设施分为“禁止拆除”、“请示后拆除”和“自行拆除”三级并相应用红色、黄色、绿色标牌及文字进行标识,报请建设单位及监理公司确认后实施。
(1)原有设施保护方案:
1)现场调查、标示:重点是对办公楼内地下室、热交换站至计算机楼、后食堂楼的热水、采暖供回水、热交换站至膨胀水箱的膨胀管、循环管、信号管及供水管道;室外至热交换站的给排水管道及室外红线内的给水、排水、热力管线,结合原室内外设施图纸重新绘制现场保护设施图,并在所需保护的管线、设施上进行明显、醒目的标示,防止误拆除或施工中的损坏,保证热交换站的正常运行及对计算机楼、后食堂楼的正常供暖、供水。
2)保护:对保留的设施进行保护,如分、集水器用挡板保护;顶棚内的管道在出入口及每隔3m 设置防超高横杆,防撞吊牌;对室外管线设置警示水泥桩。
3)职责:设专人进行现场设施保护工作并明确职责。
4)交底:对现场内所有施工的分包方、各工种进行图纸及现场交底以保护需保留的设施。
(2)原有设施改造方案:
1)膨胀水箱:招标文件要求将位于总局办公楼14 层的采暖系统膨胀水箱改为膨胀水罐,并置于Ⅲ段地下室。为此在进场后与建设单位及设计单位协调,配合指定分包单位(答疑文件将此项改为指定分包项目)在7d 内进行膨胀水罐的定货与加工,同时进行膨胀管、信号管、循环管道的安装,待膨胀水罐到位安装完毕后,报请建设单位及监理单位进行原膨胀水箱与膨胀水罐的切换,在此项施工期间保护好原膨胀水箱及其管路并维持其持续正常运行。
2)室外化粪池:根据现场调查及设计要求及改造设计的结构基础情况,拟在基础施工开挖的同时,进行化粪池的改造工作。按远期办公楼人数2000 人,最大日污水量50L/d·人,污水停留时间24h,清掏周期360d 考虑,新建一8号(80m3)化粪池。
(3)原有设施拆除方案:
1)管道:待电气专业把楼内电源切断后,可对自行拆除部分进行拆除,现有管道中给水管为镀锌钢管,丝扣连接,排水管为铸铁管水泥捻口连接,采暖管道为焊接钢管,焊接或丝扣连接,消防管为无缝钢管,焊接,对于丝接管道尽量使用管钳从原接口处拆除,对于锈蚀严重的接头可先用气焊烘烤,然后用管钳拧松丝扣后即可拆除。对于焊接管道采用气割进行拆除,尽量在原接口处拆除,保持管道的最大利用价值。明火作业遵守安全管理规定并开具动火证。对于水泥捻口的排水管道可采用手提砂轮锯切割拆除。
2)水箱:原建筑物内共现存4 个钢板水箱,分别位于顶楼水箱间、十一层水箱间、十层水箱间。对于这些水箱(除膨胀水箱外),根据施工现场用水条件的要求,可先保留顶楼消防水箱以备施工用水及消防需要,膨胀水箱按改造要求改造完毕后拆除,位于十层及十一层的水箱可先行拆除与其连接的管道后整体吊装到地面,与建设单位及监理单位协商用作施工用水及临时消防系统的泵前贮水箱,贮备水量保证热交换站不至于在施工用水高峰期出现亏水或水压不足的现象。
3)散热器:待土建专业拆除完暖气罩后即可进行散热器的拆除工作,由于本工程6 层以上部分基本采用原有散热器,散热器拆除可本着依据图纸就近安装的原则,先统计好散热器的布置情况,而后就近在本层内找一房间集中码放。待安装前统一拆卸组对、试压、刷漆、安装。
4)设备:原有设备的拆除应尽量保证其原有工况,尽量整体拆除、吊装、运输至建设单位及监理单位指定地点。
2.新建工程的施工安排
认真熟悉本专业图纸,重点注意本专业与土建专业、电气专业施工的矛盾以及给排水、暖通各管道系统的矛盾并提前解决。 配合土建专业对新建结构部分进行预埋铁件、套管洞口,对原有建筑、结构部分进行剔凿孔洞。技术人员先进行技术交底,施工人员按交底施工,由专业工程师检查合格后,与土建会签后方可进行下道工序施工。结构施工完,将主立管、水平干管及时施工完并试水。与装修同步,将支管安装,赶在土建防水前完成,以不影响土建施工进度。在管道安装的同时,可以进行设备基础施工,待条件具备后进行设备安装。在系统安装完毕后,进行系统试压、冲洗,然后进行管道保温。整理好竣工资料,画出竣工图。
三、主要项目施工方案、方法
1.预留、预埋、剔凿施工方案
(1)定位:首先应先熟读图纸,了解各种管道走向,介质流向,坡度方向及大小,根据建筑标高与结构标高的关系,确定现场结构50 线对应的建筑标高,然后按结构50 线及管道设计标高,确定垂直方向的定位。平面定位则根据设计图纸、施工及验收规范、产品样本确定。
(2)预留孔洞木盒加工:当地下室采暖系统及给水系统管线较长,穿墙较多时,墙体上采用预留(剔凿)孔洞,孔洞的大小参照《采暖与卫生工程施工及验收规范》执行。
(3)楼板预留洞套管加工:根据楼板预留洞情况,加工制作出一定量的钢套管,DN15~DN50 管道套管管径采用DN150,DN50~DN100 管道套管管径采用DN200。
(4)预埋套管固定、封堵、清理:待钢筋绑扎完毕后,将套管正确放置于墙体、楼板内,与墙体钢筋或楼板钢筋点焊牢固,并对套管进行封堵,为降低成本,采用废纸袋或蛇皮袋作为堵充物,套管固定好之后,将堵充物塞入套管内,注意要塞实、塞满,外部用胶带封死。待混凝土拆模后,及时将套管内清理干净。
(5)楼板预留洞的施工:首先将钢套管外表面涂刷脱模剂,再将套管按平面定位尺寸留置在楼板内,套管内填入填充物,用绑扎丝在四个方向与板筋绑扎固定牢固。待混凝土强度达到可以上人时,将套管拔下。
(6)墙体预留洞施工:待钢筋绑扎就位之后,按设计要求及技术交底确定的定位尺寸,在墙体上定出预留孔洞的位置,将预制的木盒放进墙内,用钢筋将木盒顶靠牢固,以防混凝土浇筑时移位、跑模。拆模后要及时对预留孔洞之木盒进行剔除,并将洞口修理方正。
(7)楼板剔凿施工:设备专业需要进行在楼板上剔凿孔洞时,需事先提出书面请示,标明具体位置、规格、大小及如果遇到钢筋如何处理的请示,会同本单位结构工程师签字后,报请建设单位及监理单位批准后方可进行施工。
(8)检查验收:施工人员根据图纸及技术交底安装好套管、剔凿好孔洞并进行自检后,报项目技术人员检查,通过后再报监理检查验收,监理验收通过后,由项目技术人员及监理在联检单上签字确认进行土建的下道工序。
2.给水管安装
(1)操作工艺:
安装准备→干管安装→立管安装→支管安装→卡件固定→封口堵洞→闭水试验→通水试验→通球试验。
(2)材料要求:给水管材根据设计要求选用不锈钢管及管件,管材及管件的材料采用0Cr18Ni9(304) 、0Cr17Ni12Mo2(316) 和00Cr17Ni14Mo2(316L),管件配套用的O 型密封圈一般采用丁基橡胶,当使用温度大于80°时宜采用硅橡胶,管材及管件外观具有清洁光滑,尽量避免潮湿,油垢、污垢要清除(管内有水流动其内部反而会更为清洁),焊缝表面无裂纹、气孔、咬边等缺陷,其外表允许有轻微的划痕,但不应有明显的凹凸不平和超过壁厚负偏差的划痕,纵向划痕深度不应大于名义壁厚的10%, 禁止与其他金属杂接,尤其一般铁、生铁,特别是镀锌铁。 支持(固定)地方用橡胶或塑胶等化合物加以绝缘,避免与一般铁直接接触,产生化学腐蚀。不锈钢管强韧度约为铜的三倍,镀锌管的二倍,但因为管壁薄,平坦放置,避免重压或重摔。
(3)给水支干管安装:当前建筑给水不锈钢管施工中所常用的连接方式主要有两种:不锈钢卡压式管件连接及伸缩可挠性接头连接。不锈钢卡压式管件连接应遵照CJ/T 152-2001《不锈钢卡压式管件》执行,采用如下施工做法:
1) 按设计图纸画出管道分路、管径、变径、预留管口、阀门位置等施工草图,分段量出实际安装的准确尺寸,按量得的尺寸使用专用切管机或切管器切断管子。
2) 为避免毛刺刺伤密封圈,使用专用除毛刺器或不锈钢锉刀将毛刺完全除净。
3) 管子的切割面与管子的中心线垂直,管子端部、外表面光滑平整、清洁、无油污。
4) 使用画线器在管端画线做标记,以保证管子插入足够长度,避免造成脱落,其插入长度基准值按下表执行。见表8-4(略)
5) 将管子笔直地插入管件内,注意不要碰伤橡胶圈,并确认管件端部与画线位置相距3mm 以内,把卡压工具钳口的环状凹部对准管件端部内装有橡胶圈的环状凸部进行卡压,用六角量规确认卡压尺寸是否到位,卡压处能完全卡入六角量规及卡压正确。伸缩可挠性接头连接管道的连接步骤伸缩可挠性接头与不锈钢管的连接如图8-5 所示。(略)
1) 裁管:按所需长度裁管,可选用砂轮机或手动切割机;打磨管口,清除毛刺,管口一定要光滑,避免损坏密封圈。
2) 滚沟:用电动或手动滚沟机在管子两端滚沟,滚出的沟应光滑,深浅均匀,不得成螺旋状。否则会产生漏水现象。沟深度及沟中心距管末端的距离见表8-5(略)。
3) 安装:用专用扳手旋松接头螺母,将滚好沟的管子插入接头,应将管子往外拉一下,感觉到C 形环套在沟上。当C 形环不能套在凹沟时,时间长就会产生漏水现象。然后用扳手拧紧螺母,螺母与接头口平齐或以下一个螺距即可。不要拧得过紧,以免损坏密封圈。(如图8-6)(略)。
4) 滚沟机及扳手要使用生产厂家提供的专用滚沟机和专用扳手。按设计要求,当管径大于60mm 时,采用焊接连接。不锈钢管道与镀锌管道系统连接时,需加铜接头作过渡,使之绝缘,以免产生电化学腐蚀。对于暗装于墙内的管道,其尺寸设计无规定时,槽的宽、深度为管子外径de+20mm。墙槽表面必须平整,管子需用管码固定,管道试压合格后用水泥砂浆填补密实。由于管子的接头较重,所以固定管道时优先固定接头处,特别是拐弯处和立管和支管连接处,当层高小于或等于5m 时,立管每层设一个管码,层高大于5m,每层不得少于两个。水平管的支吊架不得少于表8-6(略)中的规定。如图8-7所示(略)。
(4)质量标准:隐蔽管道和给水系统的水压试验结果必须符合设计要求和规范,管道坡度的正负偏差符合设计要求,管道支(吊、托)架及管座(墩)的安装构造正确,埋设平正牢固,排列整齐,支架与管道接触紧密.水压试验合格,试验介质为自来水,检查管件是否渗漏和永久变形.
3.空调镀锌钢管安装
(1)管道丝扣连接:
1)材质要求:镀锌碳素钢管及管件的规格、种类必须符合设计要求,管壁内外镀锌均匀,无锈蚀、无飞刺。管件无偏扣、乱扣、丝扣不一或角度不准等现象,管材及管件均要有出厂合格证。
2)操作工艺:由于钢材具有塑性,所以在安装前管子必须调直。根据现场测绘草图在选好的管材上画线,按线断管,将断好的管材按管径尺寸分次套制丝扣,管径15~32mm 者套二次,40~50mm 者套三次。根据草图,将套好丝扣的管材配装管件,在管道连接时,要严把质量关,必须按规范找好坡度并保证垂直度不超过2mm/m。
3)质量标准:管螺纹加工精度符合国家标准《管螺纹》规定,螺纹清洁、规整。管道连接牢固,管螺纹根部有外露螺纹不多于2 扣,镀锌钢管和管件的镀锌层无破损,管螺纹露出部分防腐良好,接口处无外露麻丝等缺陷。
(2)托、吊卡架安装:
1)型钢吊架安装。按设计图纸和规范要求,测定好吊卡位置和标高,找好坡度,将吊架孔洞剔好,将预制好的型钢吊架放在洞内,用水冲净洞内砖渣灰面,再用M20 细石混凝土或水泥砂浆填入洞内,塞浆抹平。按设计要求的管道标高、坡度,结合吊卡间距、管径大小、吊卡中心,计算每根吊杆长度并进行预制加工,待安装管道时使用。
2)型钢托架安装。安装托架前,按设计标高计算出两端的管底高度,在墙上量出需要的高度,按间距画出托架位置标记,剔凿全部墙洞。用水冲净两端孔洞,将C20 细石混凝土或M20 水泥砂浆填入洞深的一半,再将预制好的型钢托架插入洞中,用碎石塞紧,将托架栽平,用水泥砂浆将孔洞填实抹平,然后在卡孔中心位置拉线,依次把中间托架栽好。钢管型钢托架间距见表8-7。钢管管道支架的最大间距 表8-7(略)
3)立支单双管卡安装。
先将位置找好,在墙上画好印记,如为混凝土墙体,则采用膨胀螺栓固定,如为轻质隔墙,则剔直径60mm 左右,深100~-120mm 的洞,用自制螺杆固定。卡子距地其高度是:层高3m 以下者为1.5m。
(3)填堵孔洞:管道安装完毕后,用不低于结构强度等级的混凝土或水泥砂浆把孔洞堵严、抹平,为防止因堵洞而将管道移位,派专人配合土建堵孔洞。
(4)管道试压:试压前将预留口堵严,关闭入口总阀门和所有泄水阀门及低处放风阀门,打开各分路及主管阀门和系统最高处的放风阀门,打开水源阀门,往系统内充水,满水后入净冷风并将阀门关闭,检查全部系统,如有漏水处做好标记,并进行修理,修好后再充满水进行加压,而后复查,如管道不渗漏,并持续到规定时间,压力降在允许范围内,通知监理验收并办理验收记录。冬期施工期间进行系统试压时,必须采取可靠措施把水放净,以防冻坏管道和设备。
4.室内排水管道安装
(1)操作工艺:
安装准备→干管安装→立管安装→支管安装→卡件固定→封口堵洞→闭水试验→通水试验→通球试验
(2)材料要求:管材为硬脂聚氯乙烯管,内外表层光滑,无气泡、裂纹,管壁薄厚均匀,色泽一致,所用粘接剂是同一厂家配套产品,与卫生洁具连接相适宜,并由产品合格证及说明书。
(3)排水干支管道安装:根据图纸要求并结合实际情况,按预留口位置测量尺寸,根据尺寸进行断管。断口要平齐,粘接前对承插口先插入试验插入粘接时将插口稍做转动,以利黏接剂分布均匀,粘牢后立即将溢出的黏接剂擦拭干净。按设计坐标、标高、坡向、坡度做好托、吊架,将预制加工好的管段按编号进行安装,各管段粘连后,管道要直,坡度均匀,各预留口位置准确,立管安装时,层高在4m 以内设一个伸缩节,层高大于4m 时设两个,管道固定伴间距见表8-8。排水管道安装后,按规定要求必须进行闭水试验,卫生洁具及设备安装后必须进行通水通球试验,且在油漆粉刷最后一道工序前进行。
(4)质量标准:管道的材质、规格、尺寸、粘接剂的技术性能必须符合设计要求,排水系统水平干管、支管的坡度必须符合设计要求,排水系统竣工后的通水试验结果,必须符合设计要求和施工规范规定,管道支架的安装必须排列整齐,支架与管子接触紧密。安装允许编差8-9。
室内排水硬聚氯乙烯管道固定件间距 表8-8(略)
室内排水硬聚氯乙烯管道安装允许偏差 表8-9(略)
5.卫生洁具安装
(1)操作工艺:
安装准备→卫生洁具及配件检验→卫生洁具安装→卫生洁具配件预装→卫生洁具稳装→卫生洁具与墙、地缝处理→卫生洁具外观检查→通水试验
(2)材料要求:卫生洁具的规格型号必须符合设计要求,并有出厂合格证。卫生洁具外观规矩、造型周正、表面光滑、美观无裂纹、边缘平滑、色调一致。卫生洁具零件规格标准,质量可靠,外表光滑,电镀均匀,螺纹清晰,锁母松紧适度,无砂眼、裂纹等缺陷。
(3)大便器、小便器安装:首先,将胶皮碗套在蹲便器进水口上,要套正、套实。用14 号铜丝分别绑扎二道,将预留排水管口周围清扫干净,取下临时管堵,找出排水管口的中心线,将下水管口内抹上油灰。蹲便器位置下铺垫白灰膏,然后将蹲便器排水插入排水管承口内稳好,同时用水平尺放在蹲便器上沿,纵横向找平、找正,同时蹲便器两侧用砖砌好抹光。将蹲便器排水口与排水管口接触处的油灰压实、抹光,最后将蹲便器排水口用临时堵封好。小便器安装首先对准给水管中心画一条线,由地平向上量出规定的高度划一水平线。根据产品规格尺寸,由中心向两侧固定孔眼的距离,在横线上画好十字线,画出上下孔眼的位置。其他安装方法同上。
(4)洗脸盆安装:对照图纸,结合洗脸盆返水弯的型号、规格,土建给出的室内水平标高线及隔墙线,核对排水管甩头的管径、坐标与标高,对不符合要求的修整到合格。在安装洗脸盆的墙上划出洗脸盆安装中心垂线和上沿水平线,洗脸盆根据脸盆和支架的组装尺寸,量出各支架到洗脸盆垂中以后尺寸及支架各固定孔到洗脸盆垂直中心的尺寸及支架各固定孔到洗脸盆上沿的尺寸,依据量出的尺寸把支架固定孔中心量划到墙上,根据墙上洗脸盆支架固定孔中心位置,用膨胀螺栓固定支架,把符合设计要求,外观检验无缺损的洗脸盆放在支架上,支架有卡具的要用卡具把洗脸盆卡紧,使洗脸盆平整、稳固。接通洗脸盆上下水零件,连接后的水嘴、阀门朝向必须合理、一致,标高准确,管道正直,坡度正确,接口严密。接通洗脸盆排水管路,连接后的管道必须正、直、坡度正确,接口严密、牢固。安装后的洁具根据现场的情况,做好成品保护。
(5)地漏安装:根据已确定的安装位置及标高,把地漏安装在已留好的孔洞中,用水平尺找平地漏上沿,临时地稳固好漏及楼板下支好模板。质量标准:地漏连接精密不漏,坡度、深度符合设计及规范要求,地漏低于安装处排水表面5mm。
(6)质量标准:给水、排水连接管各接口及阀件必须严密不漏,排水连接管径和最小坡度必须符合设计要求和施工规范要求,排水栓安装平正、牢固,低于排水表面,无渗漏。卫生洁具安装坐标允许偏差满足施工规范要求。
6.室内消防管道及设备安装
(1)操作工艺:
安装准备→干管安装→立管安装→消火栓及支管安装→消防水泵、高位水箱、水泵接合器安装→管道试压→管道冲洗→节流装置安装→消火栓箱配件→系统通水调试。
(2)材质要求:消防管根据设计要求选用无缝钢管, 管材不得有弯曲、锈蚀、重皮及凹凸不平等现象,采用焊接,阀门及需拆卸部位用法兰连接.用法兰连接或管道与法兰阀门连接者,必须按照设计要求和工作压力选用标准法兰盘。消火栓箱体的规格类型必须符合设计要求,箱体表面平整、光洁、无锈蚀、划伤,箱门开启灵活。箱体方正,箱内配件齐全。栓阀外型规矩,无裂纹,启闭灵活,严密,密封填料完好,有产品出厂合格证,且已在消防局备案。
(3)施工方法:采用现场平焊法兰时必须使管子与法兰端面垂直,然后点焊,插入法兰的管子端部距法兰密封面距离为管壁厚度的1.3~1.5倍,连接法兰前要将其密封面刮净,焊肉高出密封面部分需锉平,法兰必须垂直于管子中心线,外沿平齐,其表面互相平行,每个螺栓不准一次拧到底,分2~3 次拧紧,螺母置于法兰的同一面上。法兰衬垫其内圆不得突入管内,其外圆到法兰螺栓孔,法兰中间不得放置斜面垫或两个以上衬垫,垫圈边宽一致,对不涂敷粘结剂的垫圈,在剪裁制作时,要留一个把手露出法兰便于安装。室内消火栓及箱体安装:先将消火栓箱按设计要求的标高固定在墙洞内,要求横平竖直固定牢固,消火栓中心距地面1.1m,栓口朝外,按设计长度截好水龙带,水龙带与水枪和快速接头采用铜线绑扎牢固,并将水龙带整齐的挂在消火栓箱内的支架上。
(4)质量标准:法兰对接平行紧密,与管子中心线垂直,螺杆露出螺母长度一致,且不大于螺杆直径的1/2,螺母在同侧,衬垫材质符合设计要求和施工规范规定,涂漆均匀,无漏刷脱皮。管道分支预留口在吊装前要先预制好,丝接的用三通定位预留口,并加好临时堵。
7.自动喷洒消防设施的安装
(1)操作工艺
安装准备→干管安装→报警阀安装→立管安装→喷洒分层干支管、消火栓及支管安装→水流指示器、消防水泵、高位水箱、水泵接合器安装→管道试压→管道冲洗→喷洒头支管安装系统综合试压及冲洗→节流装置安装→报警阀配件、消火栓配件、喷洒头安装→系统通水调试
(2)材料要求:喷洒管根据设计要求选用,采用镀锌碳素钢管及管件,管壁内外镀锌均匀,无锈蚀、无飞刺,零件无偏扣、方扣、丝扣不全、角度不准等现象。消防喷洒系统的报警阀、作用阀、控制阀、水流指示器、水泵结合器等主要组件的规格型号符合设计要求,配件齐全,铸造规矩,表面光洁,无裂纹,启闭灵活,有产品出厂合格证,且已在消防局备案。
(3)施工方法:
① 报警阀安装:设在明显易于操作的位置,距地高度为1m,报警阀处地面要有排水措施,环境温度不低于5℃,报警阀组装时按产品说明书和设计要求,控制阀必须有启闭指示装置,并使阀门处于常开状态。
② 消防喷洒干支管及设施安装:喷洒管道要求管道直径100mm 以内采用镀锌管件丝接(安装方法同冷凝水管道),干管直径100mm 及以上采用沟槽式连接。采用沟槽式连接时,先用专用的滚压开槽工具在管端加工管道沟槽,沟槽的尺寸符合标准,(见8-5 及表8-10)。检查管端:管道末端至开槽的外部,必须无刻痕、凸起,或滚轮印记保证衬的防漏密封。检查垫圈和润滑:检查所提供的垫圈,是否适合所要的使用。根据颜色代码确定垫圈的级别,在垫圈凸缘和垫圈的外侧,使用一薄层润滑剂或硅润滑剂。安装垫圈:把垫圈放在管端上,保证垫圈凸缘不外伸管端。连接管端和应用外壳:把管端集合在一起,在槽之间对准垫圈中心,垫圈部分不应延伸到任何一个槽中,然后,用一个螺母和拆下的螺栓,在垫圈上变动外壳,并进入两管道的槽口中。插入螺栓:插入剩下的螺栓,使螺母容易上紧。保证螺栓头进入外壳的凹凸中。上紧螺母:轮流地上紧螺母,使外壳斜面相接触,安全地上紧,保证一个刚性的接合,如图8-5。(略)
喷洒管道支管不能与分支干管同时顺序完成,要与吊顶装修同步进行,按吊顶装修图确定喷洒头的坐标,使支管预留口做到位置准确,支管末端的弯头处100mm 以内加卡件固定,防止喷头与吊顶接触不牢,上下错动。支管安装完,预留口用丝堵拧紧。喷洒管道的固定支架安装符合设计要求,支吊架的位置以不妨碍喷头喷水效果为原则,为防止喷头喷水时管道产生大幅度晃动,干管、立管均加防晃固定支架,立管要设两个方向的防晃固定支架。找好管道坡度,要求坡度不小于0.002。走廊吊顶内的管道安装与通风道的位置要协调好。在自动喷洒管路系统上于信号管前必须安装控制阀门,在信号管后不得安设用水装置,喷洒管道的安装顺序是先安装供水主管→配水支管→喷水支管→喷水喷头。
③水流指示器安装:一般水平立装在每层的水平分支干管或某区域的分支干支管上,保证叶片活动灵敏,水流指示器前后保持有5 倍安装管径长度的直管段,安装时注意水流方向与指示器的箭头一致。
④喷洒头安装:喷洒头的规格型号、类型、动作温度符合设计要求,外型规矩,丝扣完整,感温包无破碎和松动,熔片无脱落和松动,有产品出厂合格证,且已在消防局备案。喷洒头安装的保护面积、喷头间距及距墙、柱的距离应符合规范要求,喷洒头的两翼方向成排统一安装,安装喷洒头使用特制专用扳手,填料采用聚四氟乙烯带,防止损坏和污染吊顶,
⑤试压标准:消防系统安装完毕后,做静水压试验,试验压力为工作压力加0.4MPa,但最低不小于1.4MPa,压力保持2 小时无渗漏为合格。
⑥质量标准:管道吊架及管道的坡度,接口的要求,必须符合施工验收规范的规定,箱式消火栓栓口朝向符合设计要求,水龙带接口绑扎牢固并整齐的折挂或盘卷在箱内支架上,自动喷洒系统的管道坡度、支架位置、喷头数量及性能,必须符合设计要求或施工规范要求。
8.镀锌钢板风管制安及设备安装
(1)操作工艺
通风空调设备安装工序:施工测定→风管制作吊架安装→风管制作安装→风管验查→风管空吹→风管保温→风口安装→空调设备安装→室内设备清扫→过滤器安装→空调单机试车→空调设备联动试车。
(2)通风管道制作:本工程主要是镀锌钢板风管制作,咬口连接。现场狭小,不适宜现场加工。我们准备在单位加工场预制加工。其工艺流程如下:钢板下料→咬口→组装成型→角钢下料→冲眼→焊接成型→法兰铆接→翻边
技术质量要求:钢板采用的厚度,角钢的型号,腰箍的加设都要依规范要求进行。风管的成型误差,表面平整度必须在规范限定的误差之内。咬口设备在使用前要进行调整,咬口量符合要求后再进行作业。风管翻边必须使用木锤。
(3)通风管路安装:施工前对班组进行技术交底:现场条件,质量标准,施工工期,安全质量措施等。现场测定管路位置走向。风管制作在室内进行,制作场地必铺橡胶葩或木板。法兰制作中螺栓孔间距不得大于150mm,法兰四个孔必须设螺栓孔,铆钉孔距法兰四个角间距控制在30mm 左右为宜。风管支吊架在风管安装前进行,间距不得小于3m,保温风管的支吊架设于保温层外部,吊杆距风管边为100mm,不保温风管为30 mm,保温风管支托架与风管之间镶以防腐垫木。法兰垫料材质为8501 阻燃密封胶带,垫片规格与法兰宽度相同,并与法兰齐平,不得凸入管内,垫料接头形式必须采用梯形或企口形。风管主干管在吊顶安装前安装完毕,支管与风口等待吊顶安装时再跟进安装,风管安装时,应正确选定吊杆位置,确保不与风口,阀门,法兰位置冲突,部件方向正确,操作方便,防火阀,排烟阀检查孔的位置,必须设在便于操作的部位。对于标准层风管应先制作一层,在核对无误后,再全部展开制作安装。风管安装偏差必须符合施工规范规定。
(4)风机盘管安装:安装前对每台风机盘管进行水压试验和通电试验,水管及风管用软连接与盘管相连,吊顶杆防止与盘管相碰,引起共振。风机盘管安装必须平稳、牢固,风机盘管与进出水管的连接严禁渗漏,凝结水管的坡度必须符合排水要求,与风口及回风室的连接必须严密,风机盘管的会风箱处要留出拆电机的距离维修电机。
(5)机组安装:安装前对机组基础进行检查,防止过大或过小,机组就位要检查是否平稳牢固,与风管连接为软连接,经单机试运转后,再投入使用。
9.采暖管道及设备安装
(1)工艺流程:
安装准备→预制加工→卡架安装→干管安装→立管安装→分集水器安装→支管安装→试压→冲洗→防腐→保温→调试
(2)安装准备:审图,配合土建施工进度,预留管洞及安装预埋件。
(3)干管安装:进行管段的预制加工。按设计要求或规定安装卡架。管道安装,从进户或分支路开始安装干管。分路阀门离分路点不宜过远。若分路点是系统的最低点,在分路阀门前加泄水丝堵。补偿器在预制时按规定做好预拉伸,作好记录。按位置固定,与管道连接好。套管补偿器按要求位置安装导向支架。检查坐标、标高、预留口和管道变径位置,调直,复核坡度,固定。调整好管道穿结构处的套管,填堵管洞,预留口处上好临时丝堵。
(4)立管安装:
①核对各层预留孔洞位置。
②管道安装。检查立管的预留口标高、方向,调直,扶正钢套管,填堵孔洞,预留口加好临时丝堵。
(5)支管安装:
①量出支管尺寸和灯叉弯的大小尺寸。
②配支管,装好油任,连接散热器,麻头剔净。
③检查支管坡度和平行距墙尺寸,检查散热器是否居中和平行距墙尺寸。
(6)按设计或规定压力进行系统试压及冲洗,合格后办理验收手续,将水泄净。
(7)防腐、保温:按设计要求进行防腐、保温。
(8)供暖调试。如条件许可,进行采暖系统的调试,合格后填写记录单。
10.室内散热器组对与安装
(1)工艺流程:
编制散热器统计表→散热器单组水压试验→按设计分配各房间散热器→散热器安装→支管安装→散热器冷风门安装→系统试压→刷漆
(2)按施工图分段分规格统计出散热器组数、型号,进行组对,组对密封垫采用石棉橡胶垫片,其厚度不超过1.5mm,用机油随用随浸。20 片及以上的散热器加外拉条。散热器组对要两人同时用力并用力均匀。
(3)散热器单组试压。散热器安装临时炉堵、补芯及跑风后进行单组试压,铸铁四柱型散热器试验压力为0.75 MPa,5min 内不渗不漏合格,钢制散热器试验压力为1.56MPa。
(4)散热器安装.按设计图纸,将不同片数散热器分别运至各房间,根据安装位置及高度在墙上画出安装中心线及散热器总高的3/4 高度的水平线,15 片及以下栽1个固定卡,16 片以上栽两个固定卡。固定好散热器后,找平找正,拧紧卡片。
四、技术质量管理措施
(1)根据本工程特点,暖卫通风空调分别设专业技术负责人,各配一个专业施工队。
(2)施工前,按暖卫和通风空调专业分别编制施工组织设计、施工方案,上报公司技术部,审批后方可施工。
(3)认真审查设计图纸,并与其他专业核对,尽量发现问题,在施工前解决。
(4)加强材料设备的检验,认真审查其技术文件,对其外观及性能认真检查,防止不合格材料设备进楼施工。
(5)施工过程中,认真收集技术档案资料,作好各种施工记录,做到与工程同步。
(6)对特种专业人员,如焊工要持证上岗。
(7)作好系统调试记录和竣工图。
第十七节 电气工程
一、工程内容
高低压变配电系统、照明系统、电力系统、防雷接地系统、火灾自动报警及消防联动控制系统、综合布线系统、会议电视系统、公共广播系统、有线电视系统、保安监视系统及楼宇自控系统。
1.高压系统
本工程由室外引来两路10kV 高压电源,每路均能独立承担本工程全部负荷。两路高压电源同时工作,互为备用。高压电力电缆穿管埋地引入首层变配电所内分界小室。变配电所内设两台1250kVA 干式变压器,10 面高压柜,18 面低压柜,3 面直流信号屏及一台512kW柴油发电机组。高压系统采用中置式开关柜,VD4 真空断路器、真空断路器选用弹簧储能电动操作机构,操作电源为DC110V。10kV 侧系统运行方式是单母线分段,同时运行,互为备用,当一路电源故障时,通过手/自操作联络开关,另一路电源负担全部负荷;当两路高压同时断电时,柴油发电机组15s 内自动启动,负担一级负荷及重要负荷。高压断路器采用三相三继定时限过流保护及电流速断保护,进线隔离车与进线断路器闭锁,计量柜与进线断路器闭锁,高压进线断路器与母联断路器闭锁。变压器采用环氧树脂浇筑干式电力变压器,接线组分别为DYN/11、10kV/0.4kV,带强风冷及温控温显装置,防护等级为IP20。
2.低压系统
低压系统采用单母线分段运行方式,联络开关设自投自复/自投不自复/手动转换开关。进线及母联断路器设三段保护,其他出线开关设两段保护,进线断路器与母联断路器设有电气闭锁,一般房间空调及一般动力负荷供电回路的空气开关带失压脱扣,以保证一级负荷及重要负荷的供电。高低压开关柜均为上进线上出线。变电室内高、低压柜均设电力监测,并将数据纳入楼宇自控系统。计量方式为高压计量,低压设动力子表。
3.照明系统
均由变配电室引接380/220V 三相电源,采用树干式与放射式相结合的配线方式。一般场所为荧光灯或节能型灯具,有装修要求的场所选用装饰灯具,荧光灯、气体放电灯均需加电容补偿,补偿后的功率因数不小于0.8。变配电所、消防控制室、电话机房、多功能厅、展厅、大堂、空管局机房、网络机房设置应急照明系统,电源为双路供电末端互投。在大空间用房、走廊、楼梯间及其前室、主要出入口等场所设置疏散照明、出口指示灯。
4.电力系统
低压配电系统采用树干式与放射式相结合的方式,对于单台容量较大的负荷或重要负荷如:空调机组、水泵房、电梯机房、空管局机房、总局计算机房、电话机房等设备采用放射式供电;对于一般负荷采用树干式供电方式。消防负荷及重要负荷如:消火栓泵、喷洒泵、排烟风机、消防电梯、消防控制室、空管局机房、网络机房等采用双电源供电并在末端互投。空管局通信机房需提供两路电源(一路正常用电、一路柴油机供电),在机房内互投。另外,机房内设置30kVA,工作时间为30min的UPS电源。网络机房需提供两路电源(一路正常用电,一路柴油机供电),在主机房内互投,交换机自配蓄电池。线路及敷设:高压柜至变压器高压侧采用YJV-10kV 交联聚氯乙烯绝缘、聚氯乙烯护套铜芯电力电缆。低压出线电缆选用ZR-YJV-1kV交联聚氯乙烯绝缘、聚氯乙烯护套铜芯阻燃电力电缆,消防出线选用NH-YJV-1kV 交联聚氯乙烯绝缘、聚氯乙烯护套耐火电力电缆,由配电室到电气竖井的电缆采用桥架吊顶内水平敷设,竖井内采用梯架垂直敷设,由竖井引出的电缆采用穿镀锌钢管或电缆桥架吊顶内水平敷设。由配电室引至两个强电竖井的一般照明干线电缆采用YFD-YJV-1kV 预制分支电缆,事故照明干线采用YFD-NH-YJV-1kV 预制分支电缆,预制分支电缆在竖井内采用电缆梯及专用配件安装。所有支线除电力双电源互投箱出线采用NH-BV-500V 聚氯乙烯绝缘耐火导线,其他均采用ZR-BV-500V 聚氯乙烯绝缘阻燃导线,穿镀锌钢管在吊顶内或地面垫层内敷设。控制线为ZR-KVV 型电缆,与消防有关的控制线为NH-KVV型耐火电缆。
设备及安装:吊顶上的灯具均为嵌入或吸顶安装;开关安装高度为底距地1.4m,一般插座距地0.3m,分体空调插座距地2.4m,VRV空调有线控制器为墙上明装,底距地1.4m;本工程所有控制箱、电力箱、照明箱在竖井、机房内为明装,水泵房、空调机房电源有控制柜为落地安装,其他均为嵌入安装。
5.防雷接地及保护
本建筑为二类防雷建筑物,建筑物女儿墙顶采用φ10 镀锌圆钢作为避雷接闪器,并在屋面设置不大于10m×10m 的网格,利用柱内主筋两根(φ25)做引下线,屋顶所有金属构筑物均与避雷网可靠焊接,电气系统的工作接地、保护接地及弱电系统的接地与防雷接地合为一体,组成综合接地系统,各引下线与建筑主体四周的镀锌水平接地扁钢焊接成环,本建筑物综合接地电阻R≤0.5Ω。消防控制室及设备用房的接地利用大楼统一接地体,独立设引下线,电话机房、计算机房等的工作接地,独立设接地系统。本建筑内低压380/220V 为TN-S 系统,楼内做总等电位连接,所有进出本建筑的金属管、金属构件均通过导线、镀锌圆钢、柱筋等与室外环形接地极连接,所有的卫生间、开水间均做局部等电位联接。变压器低压出线侧、计算机电源系统、共用电视天线引入端、电信引入端设过电压保护装置(浪涌吸收装置)。
6.有线电视系统
本工程有线电视信号由室外有线电视信号引来,系统采用860MHz邻频传输,分配-分支-分配方式。干线电缆采用SYKV-75-9,支线电缆采用SYKV-75-5,穿镀锌钢管敷设。电视插座暗装距地0.3m,分配及分支器吊顶内明装。
7.会议电视系统
在本工程局长办公室、会议室设置桌面型电视会议系统出线口(综合布线信息插座)。今后通过添置相应设备,可以实现电视会议的功能。
8.综合布线系统
本工程综合布线系统分为内部网布线系统及外部网布线系统两个部分,内部网用于大楼内的办公自动化,不与外界联网;外部网用于与互联网相连,均为1GHz 宽带以太网。
本工程语音干线采用三类大对数电缆,数据干线采用多模光纤,内、外网从计算机总配线架至各层配线架均分别采用一根12 芯多模光纤。从电话机房、主机房引至楼层设备间的语音和数据光缆,水平段采用线槽在吊顶内敷设,进入设备间垂直敷设时,采用金属线槽垂直明敷,要求语音干缆和数据光缆分束绑扎在线槽中敷设。内、外网的干线需分别用不同的线槽,分隔一定的距离敷设。从每一层设备间配线架至该层信息点采用超五类UTP 八芯网线敷设在走廊吊顶内的阻燃线槽内,由阻燃线槽至信息点采用穿镀锌钢管在吊顶、墙内敷设。
总局主机房除设置两套相互独立的网络外,在楼顶上还设置一个直径约1.5m 的微波通讯天线,且主机房与中国电信的光纤接入端通过电话机房,引入一根6 芯单模光纤。从主机房至电话机房另有50 对不经过程控交换机的通讯线路。空管局通信机房设在10 层,在机房内设置综合布线配线柜,从配线柜到本层配线间有50 个点,到电话机房总配线架有200 对三类大对数电缆,均采用金属线槽敷设。在10 层屋顶平台上,设置了四个卫星接收天线,由卫星天线引入空管机房的馈线及控制线,在金属线槽内敷设。从空管局通信机房有100 对电缆到电话机房,再由电话机房引至隆福广场处的寻呼台。另外从该机房至电话机房主机采用五类线相通。各楼层设备间的有源网络设备均由总局主机房集中供电,以确保供电的可靠性。电话机房设在10 层,内设2000 门全自动程控交换机,除正常供电外,还设有蓄电池。
9.消防系统
本工程消防控制室设在一层,有直接通往室外的出口。消防控制室的报警控制设备由火灾报警主机、联动控制台、CRT 显示器、打印机、火灾应急广播设备、消防直通对讲电话设备及电源设备等组成。本工程采用集中报警系统,柴油发电机房、厨房等烟尘较大场所设感温探测器,一般场所设光电感烟探测器,需要气体灭火的重要房间、防火卷帘两侧设温、烟探测器。在本楼适当位置设手动报警按钮及70 度防火阀、280度排烟阀、气体灭火装置、水流指示器、检修阀、压力报警阀、手动报警按钮、消火栓按钮等的动作信号。在首层消防控制室设置联动控制台,控制方式分为自动控制和手动控制两种。通过联动控制台,可以实现对消火栓、自动喷洒灭火系统、气体灭火系统、排烟、加压送风系统的监视和控制,火灾发生时切断相关层的一般照明及空调机组、风机等非消防用电,自动开启相关层的应急照明。消防控制室可对消火栓泵、自动喷淋泵、加压送风机、排烟风机等通过模块进行自动控制,还可在联动控制台上通过硬线手动控制,并接收其返馈信号。所有排烟阀、280 度防火阀、70 度防火阀、正压送风阀、正压送风口的状态信号送至消防控制室显示
电源管理:本工程部分非消防用电低压出线回路及各层主开关均设有分励脱扣器。当发生火灾时,消防控制室可根据火灾情况自动切断相关层的正常照明及空调机组、排风机等非消防电源,自动开启相关层的应急照明系统。对气体灭火系统的控制:由感烟和感温火灾探测器联动,有30s 可调延时,在延时时间内能自动关闭防火门,停止空调系统,在报警、喷射各阶段有声光报警信号。待灭火后,打开阀门及风机进行排风,所有的步骤均返回至消防控制室显示。火灾应急广播系统:在消防控制室设置消防广播机柜,机组采用定压式输出。火灾应急广播按建筑层分路,每层一路。当发生火灾时,消防控制室值班人员可根据火灾发生后的区域,自动或手动进行应急广播及时指挥导人员撤离火灾现场。消防直通对讲电话系统:在消防控制室内设置消防直通对讲电话总机,除在各层的手动报警按钮处设置消防对讲电话插孔外,在变配电室、消防泵房、消防电梯轿箱、电梯机房、楼宇设备管理室等处设置消防直通对讲电话分机,消防控制室内还设置一部119 电话。
电梯监视控制系统:消防控制室设电梯监控盘,在火灾确认后,控制电梯全部停在首层,并接受其反馈信号,切断非消防电梯电源,消防电梯进入待命状态。消防报警系统的线路均穿镀锌钢管顶棚内或墙内敷设,敷设于吊顶内的钢管需做防火处理,消防报警控制设备在机房内落地安装。
10.公共广播系统
公共广播与火灾应急广播共用同一系统,设备安装在消防控制室内,采用100V 定压输出。系统设有电脑音响控制设备,节目源有CD 播放机、双卡连续录音座及广播用话筒等设备。
11.闭路电视监视系统
系统的所有主机设备均设置在一层消防监控室内,在本工程各出入口、电梯厅、二层以上各层走道及室外停车场等处设保安监视摄像机。中心主机系统采用全矩阵系统,所有摄像点可同时录像,按系统图所示做时序切换,自动选择某一摄像机进行跟踪、录像。图像水平清晰度,黑白电视系统不应低于400 线,彩色电视系统不应低于270 线。
12.楼宇自控系统
本工程设楼宇自动控制系统,监控室设在一层,对全楼的给排水、空调设备及供电系统进行监视及节能控制。系统应具备机组的手/自动状态监视、启停控制、运行状态显示、故障报警、温湿度监测、控制及实现相关的各种逻辑控制关系等功能。消防专用设备如消火栓泵、喷淋泵、消防稳压泵、排烟风机、加压送风机等不进入楼宇自动控制系统。与保安监控系统联网,当出现异常情况时,可自动开启相关公共部位的照明,与消防系统预留备用接口。对给水系统的控制:地下水池水位的显示和报警、高位水箱水位的显示和故障报警、泵的轮换使用及备用泵的自动投入。对排水系统的控制:污水坑高水位报警,根据水位控制排水泵的运行台数。水泵启、停控制、状态显示和故障报警、泵的轮换使用及备用泵的自动投入。
对空调系统的控制:本工程空调采用VRV 系统,根据室外机和室内机设置情况,利用VRV 系统配置的数据站,对空调系统进行控制,楼宇自控的微机则与数据站相连接,通过系统软件、HUB 等构成整个工程的空调自动控制;通过楼宇自控系统可对楼内的空调机进行开、关控制,温度测量、系统状态和故障报警,并可对系统的运行进行程序设定。对排风机、进风机启、停控制、状态显示和故障报警。对高压配电系统的监测:进线开关、母联开关的状态显示进、出线电流、电压显示;有功、无功功率计量。对低压配电系统的监测:进线开关、母联开关的状态显示、进线电流、电压显示;功率因数显示、计量。对变压器的监测:温度显示及超温报警、风机运行状态显示。高、低压配电系统图图形显示。对照明系统的控制:室外照明控制、走廊照明控制;立面照明、庭院灯、走廊灯、楼梯灯等公共场所照明可根据需要自动、定时开闭。柴油发电机的状态显示及故障报警,发电机输出电压、电流、功率因数、频率监测,油箱液位监测,蓄电池状态监测等。
电梯管理:电梯的运行状态、故障报警。
二、施工方法
1.钢管敷设工程
(1)材料要求:镀锌钢管壁厚均匀,焊缝均匀,无劈裂、砂眼、凹扁现象。镀锌钢管外表层完整无剥落现象,并有产品合格证。管箍使用通丝管箍。丝扣清晰、不乱扣,镀锌层完整无剥落、两端光滑无毛刺,并有产品合格证。锁紧螺母(根母)外形完好无损,丝扣清晰并有产品合格证。铁制灯头盒、开关接线盒等,金属盒板厚度应符合华北标办图集的要求,镀锌层无剥落,无变形开焊,敲落孔完整无缺,面板安装孔与地线焊接脚齐全,并有产品合格证
(2)作业条件:暗管敷设,随墙(砌体)施工配合立管;吊顶内敷管,结构施工时,配合土建安装好预埋件。内部装修施工时,配合土建做好吊顶灯位及电气器具位置翻样图,并在顶板或地面弹出实际位置。
(3)工艺流程:
暗管敷设工艺流程为:暗管敷设→预制加工(热煨管、冷煨管、切管、套丝)→测定盒箱位置→稳主盒、箱→管路连接(管箍丝扣连接)→暗管敷设方式(随墙配管;)→变形缝处理→地线焊接(跨接地线;防腐处理)。
吊顶内管路敷设工艺流程:明管敷设(吊顶内护墙板内管路敷高设)→预制加工管弯、支架、吊架→测定盒、箱及固定点位置→支架、吊架固定方法(1、胀管法;2、预埋铁件焊接法)→盒、箱固定→管路敷设与连接(1、管路敷设;2、管路连接;3、管进盒、箱)→变形缝处理(1、地板上部做法;2、地板下部做法)→地线焊接(1、跨接地线;2、防腐处理)
(4)安装要求:
1)暗管敷设#基本要求:敷设于多尘和潮湿场所的电线管路、管口、管子连接处均应作密封处理;暗配的电线管路宜沿最近的路线敷设并应减少弯曲;埋入墙内的管子,离表面净距不应小于15cm;埋入地下的电线管路不宜穿过设备基础,在穿过建筑物基础时,应加保护管;进入落地式配电箱的电线管路,排列整齐,管口应高出基础面不小于50mm。预制加工:根据设计图,加工好各种盒、箱、管弯。钢管煨弯可采用冷煨法。测定盒、箱位置:根据设计图要求确定盒、箱轴线位置,以土建弹出的水平线为基准,挂线找平,线坠找正,标出盒、箱实际尺寸位置。
2)明管敷设#基本要求:根据图纸要求,加工支架、吊架等铁件以及各种盒、箱弯管。明管敷设工艺与暗管敷设工艺相同处见相关部分。
2.电缆桥架、金属线槽安装工程
(1)材料要求:电缆桥架、金属线槽:应采用表面经过镀锌或静电喷漆(设计图上要求做防火处理的线槽)的定型产品,其规格、型号应符合设计要求并有半成品合格证,线槽内外应光滑平整、无棱刺、扭曲和翘边等变形现象。支、吊架:制作时应焊接牢固,保持横平竖直,焊接后应无明显变形,焊缝均匀平整,焊缝处不得出现裂纹、咬边、气孔、漏焊等缺陷,涂漆均匀。
(2)作业条件:土建工程应全部结束且预留孔洞、预埋件符合设计要求,预埋件安装牢固,强度合格。沿线模板等设施拆除完毕,场地清理干净,道路畅通。安装宜在管道及空调工程基本施工完毕后进行。导线、电缆敷设时,电缆桥架、金属线槽应全部安装结束,并经检查合格。
(3)施工工艺:线槽、桥架选择→外观检查→支、吊架安装→线槽、桥架组装→导线、电缆敷设。
3.电缆敷设工程
(1)材料要求:电缆:电缆的规格、型号必须符合设计要求,产品的技术文件应齐全,电缆外观应无损伤,绝缘良好,电缆封端应严密,电缆进场应做绝缘电阻测试。接线端子(接线鼻子):应根据电缆的截面选择相应规格的接线端子。标志牌:标示牌用镀锌铁片制成,文字用钢印压制。
(2)作业条件:敷设电缆的桥架、钢管均已安装完毕,配电箱体已安装完毕,顶棚上板前进行。
(3)施工工艺:电缆检查→电缆敷设→挂标示牌→盖盖板。
4.管内穿绝缘导线工程
(1)材料要求:绝缘导线:导线的规格、型号必须符合设计要求、符合不同电气系统功能要求(动力、照明、消防、电视、电话、广播)。并有出厂合格证。镀锌钢丝或钢丝:应顺直无背扣、扭接等现象,并具有相应的机械拉力。
护口:应根据管径的大小选择相应规格的护口。接线端子(接线鼻子):应根据导线的根数和总截面选择相应规格的接线端子。
(2)作业条件:管内穿线应在结构及土建施工墙面、地面抹灰作业完成后进行。
(3)工艺流程:选择导线→穿带线→扫管→放线及断线→导线与带线的绑扎→带护口→穿线→时线接头→接头包扎→线路检查绝缘摇测
5.封闭母线安装
(1)材料要求:封闭母线应有出厂合格证、安装技术文件。技术文件应包括额定电压、额定容量、试验报告等技术数据;包装及封闭应良好。母线规格应符合要求,各种型钢、卡具等各种螺栓、垫圈等附件、配件应齐全;成套供应的封闭母线的各段应标志清晰,附件齐全,外壳无变形,内部无损伤;封闭母线螺栓固定搭接面应镀锡。搭接面应平整,其镀锡层不应有麻面、起皮及未覆盖部分;封闭母线的母线外表面及外壳内表面涂无光泽黑漆,外壳表面涂浅色漆。
(2)作业条件:封闭母线安装部位的建筑装饰工程应全部结束,门窗齐全。室内封闭母线的安装宜在管道及空调工程基本施工完毕后进行,防止其他专业施工时损伤母线。
(3)施工工艺:设备开箱检查调整→支架制作安装→封闭母线安装→通电测试检验。
6.灯具安装工程
(1)材料要求:各型灯具:灯具的型号、规范必须符合设计要求和国家标准的规定。灯内配线严禁外露,灯具配件齐全,无机械损伤、变形、油漆剥落、灯罩破裂、灯箱歪翘等现象。所有灯具应有产品合格证。灯具导线:照明灯具使用的导线,其电压等级不应低于交流500V。吊钩:花灯的吊钩,其圆钢直径不小于吊挂销钉的直径,且不得小于6mm;大型花灯吊装花灯的固定装置应做灯具重量的1.25 倍过载试验。
瓷接头:应完好无损,所有配件齐全。
支架:必须根据灯具的重量选用规格的镀锌材料做成支架。
灯卡具:塑料灯卡具不得有裂纹和缺损现象。
(2)作业条件)在结构施工中做好预埋工作,混凝土楼板应预埋螺栓,吊顶内应预埋下吊杆。盒子口修好,木台、木板油漆完。对灯具安装有影响的模板、脚手架已拆除。顶棚、墙面的抹灰工作,室内装饰浆活及地面清理工作均已结束。
(3)操作工艺: 检查灯具→组装灯具→安装灯具→通电试验。
7.开关、插座安装工程
(1)材料要求:各型开关、插座规格型号必须符合设计要求,并有产品合格证。
(2)作业条件:各种管路、盒子已经敷设完毕,盒子收口平整。线路的导线已穿完,并已做完绝缘摇测。墙面的浆活、油漆及壁纸等内装修工作均已完成。
(3)操作工艺:清理→接线→安装
8.配电箱安装
(1)材料要求:
铁制配电箱:箱体应有一定的机械强度,周边平整无损伤,油漆无脱落,二层底板厚度不小于1.5mm,不可用阻燃型塑料板做二层底板,箱内各种器具应安装牢固,导线排列整齐,压接牢固,并有产品合格证。应为两部定点厂产品。
绝缘导线:导线的规格型号必须符合设计要求,并有产品合格证。
(2)作业条件:随土建结构预留好暗装配电箱的安装位置。预埋铁架或螺栓时,墙体结构应弹出施工水平线。安装配电箱盘时,抹灰、喷浆及油漆应全部完成。
(3)工艺流程:配电箱(盘)安装要求→弹线定位→暗装配电箱(明装配电箱→铁架固定、螺栓固定)→盘面组装(实物排列、加工、固定电具、电盘配线)→箱(盘)固定→绝缘摇测。
9.防雷和接地
(1)材料要求: Φ25 结构钢筋、4×40mm 扁钢、3×25mm 扁钢、φ10 圆钢、除结构钢筋外均需镀锌件。
(2)作业条件:
接地体作业条件:按设计要求清理好场地。避雷网带安装作业条件:接地体及引下线必须做完;土建结构工程已完,并随结构施工做完预埋件。
(3)操作工艺:接地体→接地线→避雷网带
10.成套配电柜及动力开关柜安装
(1)设备及材料要求:设备及材料应符合国家或部颁的现行技术标准,符合设计要求,并有出厂合格证。设备应有铭牌,并注明厂家名称,附件、备件齐全。
(2)作业条件:土建施工标高、尺寸、结构及埋件均符合设计要求;墙面、屋顶喷浆完毕,无漏水,门窗玻璃安装完,门上锁;室内地面工程完,场地干净、道路畅通。施工图纸、技术资料齐全,技术、安全、消防措施落实。
(3)操作工艺:设备开箱检查→设备搬运→柜稳装→柜上方母带配制→柜二次小线配线→柜试验调整→送电运行验收
11.弱电系统的安装与调试
(1)设备及材料要求:弱电系统设备的主要技术指标及其功能应符合设计和使用要求,并有产品合格证。如所用设备为进口设备,则必须有国家商检局的出具的检测报告,合格后方可使用。弱电系统所用传输线路的主要技术指标需符合设计和国家及行业相关标准的要求。
(2)探测器安装、端子箱安装、消防控制设备安装、保安监控设备、配线架等的安装必须等土建工程装修完以后方可开始,并注意成品保护。系统安装完以后,进行系统调试验收,并做好调试报告。
三、质量标准
质量验收标准以如下施工及验收规范为依据验收:电气装置安装工程施工及验收规范(GB50254-50259-96);北京市建筑工程电气安装质量若干规定(94)质检总站037 号文件、全国通用《电气装置标准图集》、华北标92DQ1~13《建筑电气通用图集》及部门、行业验收规范标准。
四、质量通病与防治
1.钢管敷设工程
(1)预埋盒(箱)位移、标高控制不准、管子进盒过长、斜口、管口毛刺。
(2)管子弯扁度、弯曲半经不符合施工验收规范。
(3)跨接地线、套管连接时焊接质量差、防腐处理有遗漏。
(4)盒、箱开孔与弯径不符或开长孔、电气焊开孔。
(5)预防措施:要求施工人员严格按照技术交底进行施工,电焊工必须持证上岗。
2.管内穿线
(1)箱盒内有杂物,管子缺护口
(2)采用接、焊、包接线,工艺不符合要求。
(3)预防措施:先做出样品由熟练工人操作,技术人员现场监督实施。
3.照明器具、配电箱(柜)安装
(1)插座、灯具接线不正确。
(2)插座、灯具、开关、配电箱(柜)面板不正变形松动。
(3)插座、灯具、开关、配电箱(柜)标高出现偏差,盒(箱)有杂物。
(4)预防措施:严格按照施工图纸设计标高进行预埋,安装时有技术人员进行指术交底,施工现场检查验收。
4.防雷接地工程
(1)接地体焊接面不够,焊口有夹渣、咬口、裂缝、气孔等。
(2)防腐处理有遗漏。
(3)配件不齐或不符合质量要求。
(4)利用结构主筋作引下线,有错位现象。
(5)预防措施:电焊工要求有上岗证,施工现场认真检查填写隐蔽工程记录。
5.电缆桥架(金属线槽)安装
(1)电缆桥架(金属线槽)敷设时,垂直度、水平度不符合要求
(2)固定距离不均匀,螺栓松动,配件防腐有遗漏。
(3)接地线敷设不符合要求。
(4)接茬处不平齐,盖板有残缺。
(5)变行缝处未作处理。
(6)预防措施:加强对施工人员施工现场检查,制定施工方案,发现问题,立即处理。
6 封闭母线安装
(1)封闭母线安装时,垂直度、水平度不符合要求。
(2)设备及零件缺少损坏。
(3)固定距离不均匀、螺栓松动。
(4)接地线敷设不符合要求。
(5)母线接头螺栓不符合要求。
(6)预防措施:制定方案,做出样板,对施工人员进行技术培训,技术人员检查到位。
7.电缆敷设
(1)电缆排列不整齐,交叉严重,固定间距不均匀。
(2)电缆敷设弯曲半经不够。
(3)电缆标志牌不整齐,有遗漏。
(4)预防措施:设专人检查,质量上严格要求。
第十八节 冬期施工措施
本工程冬期施工内容包括土方开挖及回填、加固新增钢筋混凝土剪力墙、新建结构等项内容,针对以上施工内容,制定以下冬期施工措施。
一、冬期施工准备
(1)进入冬期施工前,对试验人员,测温人员和管理人员专门组织技术业务培训,学习本工作范围内的有关专业知识,明确职责,经考试合格后方准上岗工作。
(2)编制项目冬期施工方案,选择冬期施工方法。
(3)根据实物工程量提前组织有关机具、化学外加剂及保温材料进场。
(4)工地的临时供水管道及怕冻材料,做好保温防冻工作。
(5)冬期施工时要采取防滑措施,大雪后必须将架子上的积雪清扫干净,并检查马道平台,如有松动下沉现象,务必及时处理。
二、土方工程冬施措施
(1)基坑开挖后及时用岩棉覆盖,防止基底受冻;
(2)施工过程中和化冻后要检查基坑稳定情况,以便及时采取措施;
(3)房心填土前,必须清除冻土后再回填好土分层夯实。
三、钢筋工程冬施措施
(1)钢筋堆放应注意比地面垫高150mm,雪后应及时清除钢筋上冰雪霜花,保持钢筋清洁;
(2)从事电弧焊施工的焊工必须持证上岗,电弧焊施工须按国家标准GB9488 有关规定执行;在环境温度低于-5℃的条件下宜采用多层控温施焊工艺,与常温焊接相比宜增大焊接电流,减低焊接速度,既要防止焊后冷却速度过快,也要防止接头过热。焊接过程中应及时清渣,焊缝表面应光滑,焊缝余高应平缓过渡,弧坑应饱满;雨天、雪天或风速超过7.9m/s 时不得在现场施焊。必须施焊时,应采取有效的遮蔽措施,焊后未冷却的接头应避免碰到冰雪;当环境温度低于-20℃时不宜进行施焊作业。
四、混凝土工程冬施措施
本工程基础和主体结构混凝土采用商品混凝土。混凝土施工采用综合蓄热法养护,即通过采用加热砂子和拌和热水等方法,保证混凝土的出罐温度和入模温度,再利用混凝土中水泥自身水化热,通过适当的保温方法,来满足混凝土硬化过程中对温度的要求。按下列方法组织好混凝土的冬期施工:
(1)选择交通便利、运距最小的商品混凝土供应厂家,由技术室对商品混凝土供应商明确提出材料(水泥、砂、石、外加剂)及其计量、加温、运输保温等环节要求:
1) 配制冬期施工的混凝土的水泥应优先选用普通硅酸盐水泥,强度等级不应低于P.O.32.5 号,最少水泥量不宜少于300Kg/m3,水灰比不应大于0.6;砂石骨料必须清洁,无冰雪等冻结物及易冻裂的矿物质;外加剂宜选用无氯盐类防冻剂;
2) 严格按照配比单控制好各原材和外加剂的计量及入机温度;
3) 混凝土供应商必须采取措施确保混凝土到现场后的出罐温度不应低于10°。
(2)既要保证混凝土浇筑的连续性,又不至于混凝土罐车场内等待而降低混凝土的出罐温度;混凝土出罐后在现场内的二次运输应尽量减少运距,盛混凝土的容器四周应包裹以聚苯板,共上覆盖草帘,以保证混凝土的入模温度不低于5℃;
(3)混凝土浇筑除遵循常温混凝土浇筑工艺和质量标准外,还应注意浇筑前清除模板和钢筋上的冰雪、污垢。条件允许的情况下进行一定的预热。混凝土振捣应尽量加快速度,确保混凝土浇筑的连续性。冬期混凝土施工不宜留施工缝;
(4)项目专职测温人员必须尽职尽责做好大气、混凝土温度的测量工作。主要内容如下:
1)气温的测量,每昼夜分8、12、24、20 点钟共测4 次;
2)对出罐混凝土拌和物的温度,至少每2h 测量一次;
3)对混凝土浇筑前和振捣完毕的温度,至少每2h 测量一次;
4)对养护期间混凝土温度的测量:在终凝前,低温早强混凝土每4h 测量一次;负温混凝土前三天每昼夜应进行4 次,以后每昼夜至少进行2 次(力求在接近混凝土出现最高和最低温度时测量);
5)在超过养护期之后,混凝土温度可在气温发生大变化时抽测。为了测量混凝土内部的温度,应在浇筑混凝土前预留一些一端封闭的白铁管(直径1cm),管口应用保温材料塞住,测温时将温度计插入测温管中并立即加以覆盖,以免受外界气温影响。温度计在管中至少停留5min,然后取出迅速记下温度值。测温孔应设在混凝土温度比较低和有代表性的地方,所有的测温孔都应编号,并绘制测温孔布置图。测温人员应同时检查覆盖保温情况,并了解浇筑日期、养护日期以及混凝土允许的最低温度,如发现问题,立即通知有关人员以便及时采取措施。
(5)混凝土冬期拆模规定
1)本工程涉及冬施的承重结构梁、顶板模板必须严格遵守规范规定,对于混凝土墙、柱侧模一般应缓拆为宜,应根据气温情况和混凝土同条件试块强度来确定。混凝土表面温度和自然气温之差超过20℃时不宜拆模。必须拆除时,应随拆随覆盖混凝土。
2)拆模时还应以混凝土不粘连模板,不损坏棱角为宜。同时应注意混凝土的成品保护。
3)在拆除过程中,如发现混凝土有冻害现象,应停止拆卸,及时报告有关部门,经处理后方可继续拆除。
6.混凝土试块制作
为反映混凝土的真实质量,混凝土试块制作要在浇筑地点取样,制作试件应不少于4 组,除标养28d 用于强度检验合格评定外,其余试件与施工部位同条件养护;其中一组用于检验混凝土受冻前的强度,确定混凝土的热养护期限或检验拆模强度,另外一组用于混凝土同条件养护28d再转入标养28d 的强度值。
第十九节 雨期施工措施
本工程需在雨期施工的内容有外墙装修、室内装修和屋面工程,针对以上项目,制定以下雨期施工措施。雨期施工主要以预防为主,采用防雨措施及加强排水手段,确保雨期施工正常进行,不受季节性气候的影响。施工现场道路,要将路基碾压坚实,作路拱,铺上焦渣,道路两侧做好排水沟,然后做硬化面,保证雨期不滑不陷。对施工现场及加工基地根据地形对场地排水系统进行疏浚,以保证水流畅通,不积水,并要防止四邻地区地面水倒流进入场内。
(1) 外墙装修应提前根据天气预报来确定,尽可能避免雨天施工,如果不可避免,必须采取有效遮挡,防止雨水淋坏;刚施工完的外墙砖遇雨要采取塑料薄膜覆盖等措施保护。
(2)现场各种机械棚,材料库应塔设严密,严防漏雨。
(3)雨施期间应及时测定砂石的含水率,调整砂浆施工配合比。
(4)电闸箱要采取防雨、防潮等措施,并安装接地保护装置。
(5)对于怕潮湿、雨淋的原材料及半成品,要放入棚内或屋内,且要垫高码放并通风良好。
(6)根据施工进度计划,6~8 月大雨集中时期,正处于内外装修施工阶段,要封闭好窗口及电梯井口,各层楼梯间作好挡水埂;
(7)外脚手架设挡脚板并要随时清理架子上的污物,防止雨水溅污墙面。
(8)施工电梯、井架、外脚手架等高耸物必须安装避雷装置,接地电阻应小于4Ω,遇雷雨天气,施工人员不得走进上述铁架。
第九章 质量管理措施
第一节 质量保证体系
一、工程质量控制体系
本工程将按《ISO9001 程序文件》要求,实行全方位、全过程质量管理,确保分项工程合格率100%,优良率80%以上,确保整体工程竣工验达到优良标准。 我公司通过了ISO9001 国际标准质量认证, 建立了由总经理为领导小组组长的“质量管理体系”,覆盖各要素、各职能部门和所有项目经理部,一切以质量为中心,全员参与质量管理的管理模式。公司根据ISO9001 标准包含的19 个要素的要求,编制了《质量手册》,及一些相关的支持性文件等一套完整的质量体系文件,并每年进行两次内审以验证质量活动和有关结果是否符合计划的安排,确定质量体系的有效性。施工中将按照ISO9001 质量标准程序运作,编制该项目工程的《质量计划》,从合同评审到采购和分包;从检验和试验到产品标识和可追溯性;从不合格品的控制到纠正和预防措施;从过程控制到竣工验收;从文件和资料控制到回访保修,每一道工序均严格按照程序文件要求操作,实行全方位、全过程质量管理。项目部已经建立的“工程质量管理体系框图”(如图9-1),其中包括组织体系、思想教育体系、信息管理体系、经济技术保障体系、施工组织设计、质量计划、技术交底、原材料试验控制体系、技术资料整理的全过程控制。
图9-1 工程质量管理体系框图(略)
二.工程质量控制计划
根据工程具体情况和预定的质量目标,将工程分为准备阶段、施工阶段和验收阶段三阶级,针对可能影响施工工程质量的主要过程、项目按主要控制点、主要控制人、控制依据、工作标准和工作记录等要求制定详细的、便于操作的控制计划。
三.质量预控重点
根据本工程的特点,质量预控重点是基础及主体结构加固、基础地下防水、钢筋保护层、混凝土养护、加固调校、地砖楼地面、屋面及卫生间防水、门窗安装、外墙装饰、上下水系统渗漏及工程交叉污染、成品保护等。
编制工作质量计划,针对本项目质量预控重点建立QC 小组,在分包商考察、方案制定、资源配备、施工组织、施工配合、过程质量控制与监督等各方面重点控制,有组织、高效率地将质量控制贯穿于施工全过程,确保施工质量。在重要工序施工之前,建立其相关的工作质量计划,确立质量标准、施工规范、检查频率、明确相关责任。
第二节 质量保证措施
一、施工准备阶段的质量控制
认真审图,优化施工方案,编制分项工程质量计划,作为指导施工的依据。为了保证采购的产品符合规定要求,所有材料由公司合格供应商名册上的供应商供应。所有原材料、半成品有合格证或出厂检验报告,需复试的材料,送检合格后方可使用。所有分包项目只能由单位合格分包商名册上的分包商分包。(招标方指定的分包商除外,但仍在进行严格的调查了解的基础上进行选择。)强化全面质量管理意识,采取灵活多样的形式对全员进行质量教育。
1.分包单位质量控制
对于招标方和政府要求由专业公司承担的项目,我们将全面行使总包职责,对每一个分包施工单位设至少一名总包管理人员,为保证整体工程创优计划的实现,在基础、结构和各种预留预埋施工优质的基础上,对进场施工的分包单位首先审核其质量计划、质量管理体系、质量保证措施、成品保护措施的完善性和可作性,全面监督其按计划和措施实施,相应地制定质量监督检查和分段验收计划,确保分包项目施工质量处于有效控制之中。
2.施工过程的质量控制
管理人员加强检查、指导,把质量隐患消灭在萌芽状态,避免返工损失。施工过程中执行自检、交接检和工序联检制度,每道工序由施工队自检,检查人填写《工序联检单》,由专职质检员,检验合格后报监理验收,合格后方可进行下道工序。各分项、分部工程和单位工程的检验和试验按照单位《过程检验和试验工作程序》及《最终检验和试验工作程序》进行。对影响工程质量的关键部位、重点工序,要设立质量管理点,并成立技术攻关小组。实行质量分级负责制,责任到人,哪个环节出了问题就由该环节负责人承担;各专业施工队的每月工费与其质量挂钩,奖优惩劣。
3.方案制定及审核
各分部分项工程施工方案必须根据现场实际情况,注意针对性和可操作性。钢筋连接接头按设计要求标准,模板采用竹木胶合板模板,保证混凝土达到清水标准;冬期施工制定详细的冬期施工方案,并经公司技术部审批。
4.计量和养护
为保证施工质量,单位已制定施工现场计量管理规定,对所有混合材料如混凝土、砂浆、回填土等均制定计量方法,设置专门人员负责。对现浇混凝土、水泥砂浆墙地面等有可靠的养护措施。
5.测量管理
测量放线由专业测量员完成,项目部设兼职测量工程师一人,负责编制专项测量方案,项目总工审批后报监理公司备案。现场内全部测量线位均由测量工程师验线。对现场内工程前期土方工程等的定位轴线、红线及水准点由技术部复核,以确保其精度。
6.工程试验管理
项目技术室负责试验管理,由单位中心实验室负责选派专业试验员并监督实施。实验资料由试验员整理后交予资料室,分类归档管理。
7.文件资料管理
按照我单位IS09000 质量管理体系程序文件的有关规定,建立科学合理的文档管理体系,做到文件能够及时、准确发送、传阅、存档。往来的函件做到文件能够及时、准确的发送、传阅、存档。往来的函件做到有函必回。技术资料准确及时,按《北京市建筑安装工程资料管理规程》的规定对施工技术资料进行编制、收集、整理,形成电子档案。反映工程情况。重要技术文件及时传送公司和招标方。
8.成品保护管理
(1)确定成品保护的期限:从工程开始直至工程竣工交付招标方使用签字为止。
(2)现场内所有分项施工单位必须接受总包单位的成品保护措施,并依据措施办理成品交接手续,承担成品保护责任。
(3)成品保护的范围
1)结构工程:墙柱角部、楼梯踏步、新浇筑的混凝土楼面、悬挑结构等。
2)工程设备:高低压配电柜等。
3)装修工序产品:防水层、面砖、墙地面、顶棚吊顶、门窗、木制品、油漆、玻璃幕墙、玻璃制品、室内电梯、金属饰面等。
4)安装工序产品:卫生洁具、管道、灯具、开关插座、通风口、烟感器、消防系统终端部件等。
(4)成品保护措施:工长应对该工程的成品保护工作全面负责,负有直接责任,工长应该结合工程具体情况向有关施工人员作好成品保护交底;工人班组在操作过程中负有对各种成品半成品的保护责任,操作时,必须严格贯彻国家规范、规程、规定和企业工艺标准中有关成品保护的规定。特提出具体要求如下:
①进入装修和安装阶段,分层分段设专人24 小时负责成品保护,并负责钥匙保管和看门工作。
②工序交接全部采用书面形式,由双方签字认可,由成品保护人员同时签字确认并保存工序交接书面材料,成品保护人员对成品的污染损坏或丢失负全面责任。
③加强交叉施工的成品保护制度。在各工种交接时,双方上道工序的成品须进行检查并办理书面移交手续。
④根据施工程序绘制施工流程表,明确各自工作内容及完成时间,非该工种人员许可不得进入施工区域。
⑤严格控制施工用水,管道试压必须在装修前完成,以防止水污染;机电设备安装好后必须用苫布盖上,以免污损。
⑥预检后要修整的项目持通行证方可进入。
a.土建工程在施工中的成品保护要点:定位放线的控制桩必须用混凝土保护好。对结构中的混凝土边角在达到设计强度前用胶合板保护。抹灰前对易破坏的管线和门窗框等进行有效的保护,严禁在抹灰面上
乱写乱划;配电箱、消火栓箱、各种小型预埋件的安装和埋设位置正确,不得错位和漏埋,以免抹灰后再打洞。楼地面工程施工结束后,及时认真养护,按日期设置醒目的标志,严禁时间未到上人,并设专人看管。在下道工序施工时,不得在做好的楼地面上拌砂浆、拖管子和直接放置铁器;油工施工前,要进行遮挡。门窗施工完成后,不得从窗口进料,门口不得进出小车,如不能避免应设置防撞保护设施。涂料油漆施工过程中要保持室内清洁,放置扬尘污染施工作业面,涂料和油漆两工种间施工也应避免相互污染。
b.专业工程在土建施工中的成品保护要点:专业工程要严格按图、按工艺标准施工。施工中要密切配合土建进度,不应颠倒工序,不得损坏结构,土建装修后严禁再剔凿。现浇混凝土结构浇筑前应完成预埋管件、预留孔洞工作,施工完毕要立即核对图纸,发现问题立即处理,严禁后剔凿;在现浇混凝土楼板上配管注意不要踩踏钢筋。砌块墙内配管应随砌墙同时进行,必要的剔凿要在墙壁面装修前完成,而且不要用力过猛,槽洞不应过宽过大,严禁剔横槽。所有管线的堵洞砂浆和混凝土都不得高出墙面和地面。楼板上配管,如有焦渣层管路需以混凝土全面保护(素土内同)。吊顶内进行作业,要在封板前完成。需进入吊顶内施工时应在主龙骨上架跳板,以防踩坏吊顶。施工中使用高凳应注意门窗、墙面、地面,必要时应采取保护措施,以防门窗、墙面、地面受损。穿线、焊接屋面避雷或管线施工中,要注意不得污染或损坏墙面和屋面的防水层等。安装各种器具及设备时,应确保屋顶、墙面、地面的清洁完整;弹线、射钉、水钻打孔等工作更应注意不得损坏或污染屋顶、墙面。
9.质量保修服务
在工程交付使用后的一年内,由工程负责人带领有关人员回访,听取使用单位对工程质量的意见。如由施工原因造成的质量问题,负责无偿保修;由于其他原因造成的质量问题,协助建设单位妥善解决。
第十章 安全、文明施工及现场消防、环保管理措施
第一节 安全施工管理措施
一、安全施工目标:
不发生重伤事故,轻伤事故频率控制在1‰以内,创“北京市优质安全文明工地”。
二、管理体系
由单位安全部门负责对各工地安全工作的统一领导,各项目成立以项目经理为组长的“安全文明施工领导小组”,副组长由项目副经理和专职安全员担任,组员包括各专业施工队长和队安全员等,安全部每周组织一次巡查,并在当周工程例会上公布检查结果。
三、施工安全管理措施
1.现场安全准备工作进场的首要工作,要熟悉现场外围的环境,其中包括高低压线路和其他危险地、物,现场内的安全治理和防护工作,此项工作就绪后,由项目经理,技术主管,和安全主管认真学习现场安全管理知识,参加劳动局考试,领取安全生产许可证。进场由技术部门联系劳务,人员落实后,进行安全培训,分为“三级”(项目、队、班组)之后由项目印试题统一考试,建立安全教育记录,未受教育者,安全人员有权拒绝其上岗。
2.拆除工程施工阶段的安全管理电气拆除工程施工前必须确保建筑物所有电源处于关闭状态,严格执行临时施工用电的各项规定。给排水采暖工程拆除施工时,确保管道中无水、无气。严格按施工交底的内容进行拆除,不明情况的管线不能随意拆除。室内拆除吊顶时,每一间房间要有专人负责,禁止一边拆除吊顶一边清运垃圾,待该房间的吊顶全部拆除后,统一清运垃圾。室内墙体拆除的过程中,应按技术交底的顺序进行施工,每堵墙体拆除时,要确认另一侧没有施工人员和施工机具后,方可进行施工。在室外拆除墙体及装饰面层时,严禁向下抛扔垃圾杂物,严禁上下同时交叉拆除,应从上至下依次拆除。室内拆除楼板或地面的过程中,应由专门的保卫人员负责下一层的安全工作,禁止下一层室内的一切施工作业,防止楼板局部突然塌落伤人。各拆除作业面要进行有效的防尘、降尘,及时洒水、提前湿润等。作好环境保护和员工个人保护工作。
3.基础工程施工安全管理
基坑完成后,四周做1.2~1.5m高防护栏杆,刷红白漆,栏杆外围护安全网和做不低于30cm 的挡水墙。进场材料在基坑边堆放,预先制定标准,并对护坡经常性自测和用水准仪测试,必要时要成立护坡观察小组,成员有技术、安全等部门组成,由安全部门每天写出观察结果。教育施工人员向基坑下料时不从上向下扔,保证吊物必须有容器和捆绑,信号工指挥要认真执行“十不准吊”
4.±0.00 以上结构及加固安全管理根据施工要求由技术部门设计脚手架,安全部门参加,采取何种架子,提前绘制施工图,并报上级主管部门审核批准,并做安全技术交底。架子工进行培训,取证上岗。对结构的敞口处,设置固定的防护栏,统一达到高度1.2m,用红白漆涂刷。支模与拆模,支模要严格按照操作规程,使用顶撑和满堂红架子时,要有二人以上合作,在拆模时,安排专职看护人员。施工人员有协作精神,拆完之后方可清理。结构面的安全,人行马道上的碎混凝土块,垃圾等危险物品,每天安排人员清理。不管在任何情况下,杜绝上下立体交叉作业,如出现这种情况,根据工程的缓急,指令停止一方。
5.装饰工程安全管理
处理结构的剔凿人员,必须戴好护目镜,注意周围的人员、机械安全,所搭设的临时架子,做到安全使用。内装修所搭设的满堂红脚手架,严格按要求搭设,尺寸1.8m×1.8m×1.5m,满铺脚手板,不留空档,并做到工完场清,有临边敞口处绑两道防护栏杆,高度1.2m。
6.施工机械安全管理
施工电梯及提升机的安装地基和使用按原厂规定,并有验收手续,经检验合格后,方可使用,使用中,定期进行检测。施工电梯及提升机的安全装置保证齐全、灵敏、可靠,做到定期不定期的检验。严格执行额定重量及定额人数制度。电梯底笼周围2.5m 范围内必须设置牢固的防护栏杆,进出口处的上部搭设足够尺寸的防砸棚。并作防雷接地处理。搅拌机外壳应作接地保护,开关箱设漏电保护器,各转动部位有防护罩。运行前要试运转检查有无故障。搅拌机的固定基础要牢固稳定,并有防雨棚。蛙式打夯机必须两人操作,操作人员必须戴绝缘手套和穿绝缘胶鞋,操作手柄应采取绝缘措施,夯机用后应切断电源,严禁在夯机运转时清除积土。氧气、乙炔瓶防止曝晒、倒放,平时汽油、氧气和乙炔瓶的工作间的间距不小于5cm,两瓶同时焊时距离大于10m。各种气瓶应分类分别存放,不得靠近火源或热源。施工现场内严禁使用浮桶式乙炔发生器。电锯的锯盘及传动部位安装防护罩,并设保险档、分料器、挡网或棘爪。凡长度小于50m,厚度大于锯盘半径的木料,严禁使用电锯。砂轮机应使用单向开关。砂轮必须装设不小于180°的防护罩和牢固的工件托架。严禁使用不圆、有裂纹和磨损剩余部分厚度小于25mm 的砂轮。平面刨安全防护装置齐全有效。对吊具、钢丝绳凡表面磨损、腐蚀、断丝超过标准的、死弯断股,油芯外露的不得使用。各种小型手持电动工具的绝缘性能要符合规范的规定。工具自带的软线不准随意拆除或接长,插头不得随意更换,禁止使用不带插头的工具。工具中运动(转动)的危险零件,必须按有关的标准装设防护罩不得随意拆除。
7.临时用电安全防护管理
临时用电必须按规范的要求,做施工组织设计(方案),建立必要的档案资料。临时用电必须建立针对现场的线路、设施的定期检查制度,并将检查、检验记录存档备查。临时用电线路必须按规范架设整齐,架空线采用绝缘导线,不成束架空敷设,也不沿地面明敷设。配电系统必须实行分级配电,各类配电箱、开关箱外观保持完整、牢固、防雨,箱体外涂安全色,统一编号,箱内无杂物,停止使用的配电箱切断电源,箱门上锁。独立的配电系统必须按部标颁准采用三相五线制的接零保护系统,各种电气设备和施工机械的金属外壳、金属支架和底座按规定采取可靠的接零或接地保护,在采用接地和接零保护方式的同时,必须设两级漏电保装置,实行分级保护,形成完整的保护系统。漏电保护装置按规定选择。各种高大设施按规定装设避雷装置。手持电动工具的使用符合国家的有关规定。保证工具的电源线完好。电源线不任意接长和调换,工具的外绝缘完好无损,维修和保管专人负责。在施工场所采用36V 电源、24h 全天候照明。电焊机单独设开关,电焊机外壳设接零或接地保护,一次线长度小于5m,二次线长度小于30m,两侧接线牢固,并安装可靠的防护罩。焊把线双线到位,不借用金属管道、金属脚手架、或结构钢筋做回路地线,焊把线完好,绝缘良好,电焊机设置地点防漏、防雨、防砸。
第二节 消防管理措施
一、现场消防设施的管理
为解决单纯依靠消防器材灭火效果不足问题,要求配备有足够的消防水源和自救的用水量,利用建筑原有消防立管,在供水端设扬程为30m高压水泵和临时水箱,保证水压。并在每层设有消防水源接口,配备水龙带和水枪。同时在各施工作业面配备足够的手提式灭火器。保持施工现场的消防通道的畅通,在楼内楼梯无法使用时,增设临时消防疏散楼梯,应紧跟作业面不超过二层。施工现场的消防器材和设施专物专用,冬期施工对消防设备采取防冻保温措施。高层建筑冬期施工用的保温材料不使用可燃材料。
二、现场消防制度的管理
严格工地使用明火审批手续,需要用明火的队伍当天可提出申请,写明地点、用火方式、动火人、防火措施,在安全员确认能够落实安全措施方可填发用火证。凡是现场无法保证安全用火或遇有五级以上大风时,杜绝动用明火。作业面改变时,需重新开办“临时用火证”。
作业时,应按规定设监护人员,作业后,必须确认无火源危险时,监护人员方可离开。工地不准随便乱搭不符合防火要求的工棚或临时设施,如果因工作需要搭设的,征得项目领导和业务部门的同意,审批后方可搭设,并按防火、防盗的要求搭设。非经施工现场消防负责人批准,任何人不得在施工现场住宿。严格贯彻执行上级各部门的消防法规、条例、文件,认真学习《北京市人民政府第20 号令》和本单位的各级消防管理,经常深入现场指导防火工作,做到工前有布置,工作中有检查,工后有验收。积极做好专职消防巡视人员和班组人员的思想教育和组织领导工作,加强业务训练和实践学习工作,做到一旦发生火险能够立即扑火。负责义务消防队的组织领导和业务训练工作,经常注意组织调整和整顿,负责义务消防队员的分片防火责任制和业余时间的值班巡逻的工作。认真做好消防日记工作,对本工地出现的事故苗头,火警火灾隐患尽快书面呈送项目主管领导阅示,并采取措施限期改正,注意做好消防资料的积累工作,建立消防档案。制定消防灭火预案,如有火灾,作到责任明确,报警及时,抢救及时,控制火情,把火灾损失控制在最小的限度内。
三、现场施工管理
电气焊工、油漆工、电工、木工上岗严格遵照有关规定进行作业。其他工种作业确保施工安全,在保证不发生火灾的情况下方可作业,特殊应急工程作业由项目经理或技术室主任签字才可进行,否则不准作业。
消防安全员保持经常深入施工现场监督检查各种用火、用电,易燃、易爆物品的使用、管理和堆放情况,发现问题及时督促有关部门或有关工种尽快解决。易燃易暴物品不能混放,除现场有集中堆放除外,班组使用的零星散料必须按照有关规定存放。利用各种形式对职工进行防火宣传教育,同时做好本工地施工的民工队的防火教育工作,各种消防器材做到明显醒目,废旧消防器材立即更换,做到有备无患。
第三节 文明施工管理措施
一、围墙及大门
施工现场围墙封闭严实,高度不低于2.5m,连续坚固,表面刷涂料。施工作业区与外界明显划分开,有必要的隔声和安全防护措施,防止发生事故。
在大门外明显处分别设置统一样式的施工标牌,标牌写明工程名称,建筑面积、建设单位、设计单位、施工单位、工地负责人、开工日期、竣工日期等内容,经常保持整洁完好。并每天派人清扫大门外及周边道路绿化区的卫生,把施工给周边环境带来的影响降低到最低限度。有专职门卫及门卫管理制度,人员凭项目部统一证件出入,车辆进出现场要进行登记,车辆出场必须有项目部签署的出门证。
二、施工现场
场内设有规定的六板一图,即:施工总平面管理、安全生产、文明施工、环境保护、质量控制、材料管理板等。施工平面布置图,分拆除、加固及基础、扩建结构、室内室外装修四个阶段,现场布置要与平面图相符。施工现场充分利用原有地面硬化面,保证道路通电畅,无大面积积水。场地内排水通畅,消防通道利用现场背面的街道及现场南部的施工道路。对施工现场的各种安全、消防设施及劳动保护器材加强管理,定期进行检查维修,及时消除隐患,保证其安全有效。必须按总平面图规定的位置进行堆放物料。材料的堆放必须按品种规格分类堆放,并作好标志。各种物料堆放必须整齐,砖成丁、砂石等材料成方。大型工具一头见齐。钢筋、构件、钢模板应堆放整齐,用木方垫起。作业区及建筑物的楼层内,应随完工随清理,各层内清理的垃圾不得长期堆放在楼层内应及时运走,施工现场的垃圾应分类型集中堆放。建筑物四周的零散料及时清理,垃圾、渣土外运,做到工完、料净、脚下清,保持施工现场的整洁、干净。楼梯踏步、休息平台、阳台处等悬挑结构上不得堆放料具和杂物,做好成品、半成品的保护工作。施工区域内,划分责任区,设标志牌,分片包干到人,保持整洁,无积水。施工现场建立治安保卫制度和责任分工,对现场施工人员进行法制教育,并有专人负责进行检查落实情况。
三、现场卫生
建筑物内和施工现场应保持卫生,不准随地大小便。在第一、二、三施工段每隔一层设置移动式简易的厕所,以切实解决施工人员的实际问题。并派专人负责卫生工作。施工现场餐厅有专人负责卫生清洁工作,经常消毒,接受卫生检疫部门的监督检查。施工现场设置开水房一间,在工作时间提供开水。用固定的盛水容器由专人负责对各施工作业段提供送水服务。施工现场配备保健药箱及一般常用药品,并有本单位医生巡回医疗。为适应临时发生的意外伤害,现场应备有急救器材(如担架等)以便及时抢救,并不扩大伤势。施工现场应有经培训合格的急救人员,懂得一般急救处理知识。
第四节 环境保护管理措施
一、环境保护管理体系
1.环境管理目标
我单位已试运行ISO14000 国际环境管理体系标准程序,具体措施可结合程序要求。实施全过程的环境保护管理。保证在施工过程中无环境污染事故发生。遵守国家关于环境保护的各项法律、法规及相关文件,达到北京市《建筑施工安全文明管理规定》中关于环境保护方面的要求。
2.环境管理计划项目经理部依据公司环境管理方案制定本项目的环境管理计划,确定环境管理目标。环境保护管理计划包括分供方环境管理、 分包商环境管理、外埠劳务队伍环境管理,施工机械设备运行管理、能源、资源的使用,易燃、易爆物品和化学品保管及使用,废污水、废弃物处理,噪声控制、扬尘和遗洒控制以及应急准备和响应程序环境监测和不符合项的纠正和预防等方面的内容。对施工中涉及到环境方面的因素统统包括其中,对其进行有效的控制。
3.环境管理体系
成立环境保护小组,由项目经理亲自挂帅,负责总协调,工地的安全部门具体负责实施(后附项目部环境保护管理体系框图)。然后报公司安全部门审批、备案。经理部派专人每月组织监控本的环境目标、指标及环境管理方案的落实和实施情况。
4.确定本工程的环境保护管理工作的重点及难点根据本工程的特点,前期的建筑拆除、渣土的清理工作,中间阶段结构工程的混凝土施工,后期精装修施工阶段的抹灰及楼地面工程为本工程环境保护工作的重中之重。具体的环境因素有:拆除工作中的渣土及废旧材料,拆除过程中的扬尘,加固结构施工中的喷射混凝土的扬尘及散落物,基础降水施工中的泥浆和污水,土方开挖工程中土方运输及现场扬尘,结构施工过程中混凝土现场浇筑养护后的废水,装修施工中的抹灰和楼地面砖等工程中的水泥砂浆的废水,现场车辆轮胎清洗,施工作业面的清洗,现场生活污水及生活垃圾等。除了对以上施工环境因素进行长期和持续的管理,还要针对重点工程,制定相关的计划,确定具体的管理指标和措施,报上级主管部门审批后实施。完善检查制度,明确相关责任。
二 、环境保护管理措施
1.环境管理制度
项目经理部负责向本项目经理部内职工和在场的外施队伍进行有关环保要求和知识的培训。将公司的环境管理方针、环境管理体系的有关要求、环境知识,应通过各种形式(文件、手册、会议、张贴于门前、写于外围墙等)传达到每一个员工,增强员工环保意识。项目部与所属各施工队伍及各分包队伍签定施工环保承诺书,明确各队伍在施工过程中的环境保护责任,建立健全环境保护奖惩制度,奖罚分明,把环境保护工作同施工方的经济利益直接挂钩。建立环境保护工作检查制度,在各施工过程中控制各环境因素,在关键施工工序,把环境保护同施工质量检查挂钩,采取环境保护工作一票否决制度,环保不合格,不整改,不准验收交下一道工序。严格遵照北京市有关规定,22∶00—次日6:00 期间不进行有噪音的工作。在允许的施工时间之外必须施工时,应有主管部门批准手续,并做好周围社区的解释工作。做到正常时间工地施工不扰民,应针对施工工艺设置防噪声设施,做到不超标(施工现场噪声规定不超过85 分贝)。例如:减少人为的大声喧闹和搬卸时的噪音,对噪音大的施工机械如木工园盘锯、振动器等,进行封闭围挡隔音。
2.施工现场的环境管理
(1)现场拆除施工过程中采取密网防尘,施工作业面配备足够的降尘设备,如:喷雾器、水管等。
(2)施工过程中积极利用企业的技术优势,采用新型环保材料、应用新型环保工艺,不使用对环境有严重污染的材料。
(3)施工现场内全部进行硬化处理,如有破坏及时修补。施工场地和道路经常洒水湿润,防止扬尘。
(4)大门口设洗车台,出场车辆要冲洗轮胎,外运土方期间,安排专人清洁汽车轮胎、车身,车顶的渣土和土方要用苫布苫盖严密。清扫路面,防止渣土污染城市道路。
(5)生活用水下,水道上设置隔油池,定人定时清理,剩饭、剩菜倒入缸内集中运走。
(6)工程施工的废水和泥浆,应经流水槽或管道流到沉淀池统一进行处理,不得随意排放和污染施工区域以外的河道、路面。
(7)现场厕所设置化粪池,不允许将粪便直接排入城市下水道,厕所固定专人定时冲洗清扫。
(8)现场不得焚烧有毒、有害物质,应该按照有关规定进行处理。
(9)严格控制现场的机械动力设备及运输机械的废气排放指标,不符合标准的严禁使用。并遵守市区有关燃油设备的其他规定。
(10)冬期采暖不设燃煤锅炉,遵守北京市市区大气排放标准。
(11)现场应建立不扰民措施。有责任人管理和检查,或与社区定期联系,听取意见,对合理意见应处理及时。
(12)建立紧急事故处理措施预案,对不符合的环境保护项目,及时确定整改措施,落实责任人,限定整改期限,加强结果检查。
第十一章 分包计划及对分包队伍的管理措施
第一节 分包计划
一、招标人指定分包项目与独立发包项目计划
根据招标人的要求,本工程拟分包项目计划如表10—1 所示(略)。
二、我单位分包项目计划
我单位计划将基坑降水工程进行分包,施工过程中,将严格对其进行管理、服务、配合和协调,保证降水效果及其各项工作的合理有序进行。
第二节 对分包队伍的管理措施
xxx工程具有分部分项工程多、施工难度大、地理位置特殊以及分包单位多等特点,如中标,我单位将承担本工程除招标人独立发包及指定分包项目外的整个工程的施工、管理、服务、配合及协调工作。作为施工总承包单位,我们将通过组织协调及时化解各方矛盾,增进理解,努力建立一种目标一致,优势互补,利益共享,风险共担,真诚合作,政通人和的新型的总分包关系。对招标人独立发包及指定的分包项目,我单位将从施工程序、进出场和设备材料订购加工及安装时间、施工场地和临时设施使用、场内周转材料使用、场内垂直水平运输、施工作业接口等方面实施全面管理、服务、配合及协调工作。
我单位已通过ISO9001 质量体系认证,本工程将采用项目法施工,施工中将严格按照ISO9001 质量标准运作。在施工过程中对所有关键工序及特殊作业,事先制定施工方案,编制关键工序及特殊作业指导书,优先采用新工艺、新材料、新技术。对所有分项工程,如:钢筋绑扎的各类连接方式、模板支撑及拉接方式、混凝土浇筑成型后的表面工艺质量、各种砌体结构、抹灰、墙面涂料、吊顶、花岗岩及地砖地面、门窗安装、灯具安装、各种水暖件安装等均实行样板先行,在征得招标人及监理工程师认可的前提下再进行大面积施工。
我单位将在施工进度控制、工程预算、财务报表、成本控制等方面采用微机管理,促进各项工作的程序化和标准化,从而大大提高施工进度、确保施工质量。项目部将严格按ISO9001 标准控制工期、质量及材料等,严格挑选承包商和分供方,以保证工程按质按时地交付使用。我单位是具备总承包管理能力的大型一级建筑企业,为实现承诺的工期和质量,我们将对自选分包商、招标单位独立分包商及指定分包商从工程管理、工期控制、工序协调、质量验收、现场管理、安全管理等各环节上管理到位。管理、服务、配合及协调的具体措施如下:
一、总体措施与要求
(1)制定《xxx工程总分承包管理办法》,使各分承包单位了解总包的意图及对他们的要求。
(2)组织分承包单位学习总包合同,宣讲合同,了解招标单位及总包的要求和目标,增强合同观念,按合同办事。
(3)建立分承包档案,主要是分承包方的资质、分包范围和部位,进行动态跟踪管理。
(4)总包与分承包单位签定为实现工程总目标所定的分包合同、阶段目标的分承包合同及专业合同等,合同中明确总分承包的责、权、利和奖罚条款,形成经济责任体系。
(5)充分保证总包行使权利,加强统一指挥、协调和管理,对项目的目标,工期、质量、安全、场容等方面进行控制。及时排除障碍,搞好服务,互相创造条件,保证管理目标的实现。
(6)每周召开两次包括所有分承包单位出席的内部生产协调会并提前24h 通知监理工程师邀请其参加,就有关施工中遇到的问题研究解决。
(7)对分承包单位进行考核评定,落实奖罚制度。
二、工程管理措施
对每一个分包项目,指派专人负责与分包单位之间的配合,及时通报整体施工安排,及时解决施工中出现的各分包单位之间必须的交叉作业引起的矛盾,加强各分包单位之间的协作与配合,监督其质量、进度和现场文明施工。
三、施工进度管理措施
根据施工总进度计划的安排,在工序科学合理的基础上,我们将各分包施工项目的开始时间(包括甲供材料及需要提前完成的设备订购和加工)、阶段完成时间、与相关专业配合接口时间、完成及验收时间制定详细的进度计划,控制各分包单位按指定的时间进场、进料,并定时召开分包项目工程例会,根据实际工程进度及时调整分项工程进度计划,保证分包项目的施工处于整体计划调控之中。具体措施如下:
(1)根据总工期的要求和长计划短安排的原则,对各分承包单位的进度计划作调整并落实到分承包单位负责人手上,确保工期得以顺利实现。
(2)作好“晴雨表”记录,准确掌握由于天气变化情况造成的工期延误,及时对计划做调整,并提出抢工期的具体措施。
(3)工程的关键部位采用“节点法”控制,按期保质完成,给予奖励.否则,予以罚款。造成工期拖延的,查清原因,作好记录,追究责任,并提出具体措施抢回工期。
四、质量管理措施
本工程分部分项工程数量多,分承包方队伍多,给全面的质量管理带来一定的难度,如何更好的管理、服务,更好的协调各方的关系,将直接影响到各分部分项工程的质量,从而影响到整个工程的质量。作为总承包单位,我单位有责任有义务也有能力控制好各分承包方施工范围内的工程质量,我单位将采取一切可能的有效的管理制度与措施为整个工程的创优而努力。为保证整体工程创优计划的实施,我单位主要从以下几方面加强质量控制与管理:
(1)按照总体施工进度计划,在分承包方进场前,做好所有预留洞、预埋件、预埋管及穿线、施工脚手架、施工用水用电、材料堆场等前期准备工作,同时绝对保证各种预留洞、预埋件、预埋管及穿线等施工作业的优质准确,为分承包项目的施工创造良好的条件。
(2)对进场施工的分承包单位进行审核,重点审核其施工资质、施工方案(主要审核方案中确定的施工方法、施工顺序是否科学合理,施工措施是否适当,有无工程质量方面的潜在危害)、质量计划、质量管理体系、质量保证措施、成品保证措施以及与总承包单位在质量方面的配合措施,审核以上各项的完善性和可操作性,对以上各项措施不得力的方面加强指导并提出要求进行改进,直至能够切实保证创优目标的实现。
(3)分承包单位进场后,我单位将迅速组织有关部门(包括监理、招标单位)召开碰头会,就有关质量要求、注意事项及配合协作达成一致,会后立刻安排有关人员带领其熟悉现场,确定材料堆放地点,明确施工部位及要求,明确施工用水用电的接口位置等事宜。
(4)分承包项目施工过程中,派专人全面监督其按计划和各项措施组织实施。相应的,我们将制定质量监督检查和分段验收计划,经常组织项目部技术、质检人员及其他有关人员进行质量检查,发现问题及时指出并采取相应措施要求其加以改正,同时将有关情况以书面形式上报监理和招标单位,确保分承包施工严格受控。
(5) 分承包工程竣工后,我单位将要求分承包单位向总承包单位提交书面的竣工报告,收到竣工报告后,我单位将立即组织项目经理、项目总工程师、相关专业技术质检人员以及分承包单位有关人员按照有关国家标准及行业标准对已完分承包工程进行竣工初验,对初验中发现的问题要求其整改,整改并再次验收合格后,报监理及招标单位验收。
五、现场管理措施
(1)根据施工进度计划和现场情况,将各分包单位需要的临时设施、材料场地和施工作业面按不同的时间段进行划分,为分包单位及时提供施工脚手架、垂直水平运输等服务。
(2)我单位在各分承包单位进入施工现场后,按照一定的程序将其施工的工作面移交给对方,在各分承包项目施工过程中,我单位将不再安排此工作面内的一切施工作业,直至各分承包项目竣工交予我单位为止。
(3)分承包单位每天的施工作业时间必须跟总承包单位统一的施工
作业时间相一致,不允许分承包单位在总承包单位规定的统一施工作业时间以外的任何时间进行施工,如确因工艺要求需要连续作业时,必须征得总承包单位的允许并上报监理工程师及招标单位批准,同时要做好周围居民及单位的安抚工作,以求他们的谅解,但施工时也要尽量控制和减小施工噪音污染。
(4)各分承包单位必须按总承包单位的统一要求设立各种标识,包括原材料标识、半成品及成品标识等。
(5) 各分承包单位必须遵守现场文明施工工地的各项标准,及时将各自作业区、责任区清扫整洁,做到活完料净脚下清。
(6) 各分承包单位进入现场进行施工,其工作人员必须佩带我单位统一制作的胸牌,以利统一管理。
六、安全管理措施
各分承包施工单位进场前需建立安全管理体系,制定保证措施,对易发生安全事故的用电、防护等设定统一的管理标准。施工前,我单位将对各分承包单位参加施工的所有人员进行安全教育与培训,进行安全交底,并组织考试,合格后方可上岗。绝对保证各分承包单位作业面和工作场地不留安全隐患。具体措施如下:
(1)施工现场“三宝”、“四口”、“五临边”是施工的危险区域,除由我单位设置防护外,各分承包单位进入现场进行施工,必须服从总包管理规定,不得随意拆除防护。
(2)我单位将熟练掌握总分承包合同的内容,签定安全生产条款,各分承包单位应有专职安全员负责各自的施工安全工作,并服从总体施工安全的安排。
(3)工地治安、消防由我单位的治安消防员统一负责管理,各分承包单位必须有专(兼)职治安、消防员,并服从和协助我单位治安、消防员的管理、检查和监督。我单位作为施工总承包单位将承诺始终把整个工程的质量、工期、安全文明施工作为自己不可推卸的责任,同时把质量、工期目标和安全生产责任落实到各分承包项目合同和施工的全过程中去。定期组织招标单位、监理、设计、总包、各分承包单位参加的工程协调例会,及时解决施工中的矛盾及各种存在问题,使我单位在整个工程施工中起到龙头作用,以确保各项目标兑现。
第十二章 总包与监理和设计人的配合措施
xxx工程分部分项工程多、要求高、施工难度大、情况复杂,总包单位与监理和设计人配合情况的好坏将直接影响到整个工程创优目标的实现。如果我单位有幸成为总包单位,我单位将拿出最高的管理水平并结合以往的成功经验,密切与招标单位、监理和设计人联系配合,摆正各方的关系,制定各种配合措施并保证实施,把本工程的各项工作做得有条不紊,为工期、质量、安全等各项目标的实现创造条件,为整个工程创优目标的实现做好保证。
第一节 总包与监理的关系
招标单位对总包单位及监理单位进行总的管理、监督和协调,总包单位与监理单位均受雇于招标单位,对招标单位负责;总包单位将与监理单位相互配合、加强协作,向监理单位反馈各种信息,报批各种手续,接受监理单位的各种监督、检查,执行监理单位的各项合理指令;监理单位审批总包单位的各种报批手续,监督、检查总包单位为本工程所做的一切工作,根据需要及招标单位的要求向总包单位发出各项指令,同时将设计人的补充设计及设计变更以书面的形式通知总包单位进行实施。
第二节 总包与设计人的关系
招标单位对总包单位及设计单位进行总的管理、监督和协调。总包单位与设计单位均受雇于招标单位,对招标单位负责;总包单位将与设计单位密切联系,加强配合与协作,施工过程中,及时将现场实际情况及现场实际与设计图纸不相符的地方通过监理单位与设计人进行沟通,协助设计人做好设计图纸的变更,并提出合理优化的建议,尽可能的降低工程造价,为招标单位节约资金;邀请设计人参加部分关键工序的检查验收,听取他们的意见与建议,对设计人提出的好的建议结合工程实际加以实施,对检查中提出的问题加以整改。
第三节 总包与监理和设计人的配合措施
一、总体配合措施
(1)我单位作为总包单位,将为招标单位和监理工程师提供必要的现场办公室,并配备其办公必须的家具、电脑、复印机、交通车辆等,安排专门的保安员及清洁员负责办公区内的安全及卫生,保证为招标单位及监理工程师提供一个安全、卫生、舒适的工作环境。
(2)为更好的配合监理和设计人搞好工作,我单位将专门制定针对本工程特点的总包与监理和设计人的配合管理制度,明确配合的内容与程序。
(3)各专业均指派专人负责与监理和设计人的联系配合工作,并成立与监理和设计人配合联络小组,由项目总工程师任组长,各专业工程师为专业联络负责人。
(4)开工之初,立即组织由项目经理主持的以与监理和设计人配合联络小组成员为主的全体项目部人员参加的碰头会,就有关与监理和设计人的配合事项达成共识与约定,并学习《总包与监理和设计人的配合管理制度》、《建设工程监理规范》、《本工程监理实施细则》以及施工合同和设计人的有关规定,明确各自的职责。
(5)每周召开一次各方配合协作例会,邀请招标单位、监理、设计人参加,会议专门就各方配合协作事宜进行沟通,达成一致,以便更好的执行各方通过监理发出的指令。
(6)严格遵守招标文件、总包合同及监理细则中规定的各项报验、报批程序,坚决执行监理工程师发出的各种指令。
(7)对施工过程中发现的现场实际与设计图纸不符的情况,召集项目部有关人员进行仔细研究会审,提出初步解决方案及设计变更的建议,并以书面的形式上报监理与设计人审查,根据设计人的正式设计变更图纸进行实施。
二、工期配合措施
(1)上场后,立即对投标阶段的施工总进度计划按照招标单位适时的要求作进一步的修改和细化,具体到每个分部、分项工程的每一天、每一层应完成的工作内容以及各分承包项目的详细施工进度计划,将修改细化后更加完善的施工进度总计划及各分部、分项工程、各分承包项目的施工进度计划上报监理审查。
(2)按照监理提出的施工进度计划合理的建议对施工进度计划进行修改,将修改后的施工进度计划分发到监理、设计人及项目各职能部门和各分承包方。
(3)施工过程中,接受监理对工程进度计划执行情况的监督,采纳设计人对工程进度进展情况的合理建议,及时调整由于天气等原因造成的工期延误,采取必要的措施赶回延误的工期。
(4)提前编制好各分部分项工程施工方案及工期保证措施,并上报监理审查批准,为各分部分项工程的顺利按计划进行做好保证。
三、质量配合措施
(1)编制各阶段各专业拟进场材料及设备的详细资料上报监理,邀请监理和设计人对这些材料及设备的生产厂家进行考察,并将材料设备样品存放在样品室,以便材料设备进场时,监理对照样品检查验收。
(2)施工过程中,严格各种报验制度,每道工序在自检合格的基础上上报监理进行检查,对检查不合格的内容立即组织进行整改,合格后再次报监理检查,确保质量不出现任何问题。
(3)对一些新工艺、新材料的使用,提前进行研究,指定切实可行的施工方案,并请示监理和设计人进行指导,明确设计人的意图,采纳监理和设计人的建议和意见,把质量作为工程施工管理的头等大事。
四、安全文明配合措施
1.设专人负责与监理在安全施工方面的配合联系,对一些易发生安全隐患的作业,如外脚手架、边坡支护等,均要进行方案设计并上报监理,在征得监理同意后进行施工。
2.现场文明施工严格按招标文件及北京市的有关规定执行,施工前,将布置合理、美观的施工总平面布置图上报监理进行审查批准,审查通过后将严格执行。
3.如确因施工需要晚上加班作业时,要提前将拟加班情况书面上报监理审批,协助监理及招标单位对周围居民进行解释,以征得他们的理解。文章来源: 永年加固公司 本文链接: http://www.lubanwang.com/a_20170205151631.html 任何关于加固工程的问题和建议,敬请咨询:0591-87868646
上一篇:招聘信息
下一篇:抗震加固改造项目施工组织设计






